アプリケーションギャラリには電気, 構造, 音響, 流体, 熱および化学分野に関連する COMSOL Multiphysics® チュートリアルおよびデモアプリファイルが用意されています. これらの例はチュートリアルモデルまたはデモアプリファイルとそれに付随する手順をダウンロードすることにより独自のシミュレーション作業の開始点として使用できます.
クイック検索機能を使用して専門分野に関連するチュートリアルやアプリを検索します. MPHファイルをダウンロードするには, ログインするか, 有効な COMSOL ライセンスに関連付けられている COMSOL アクセスアカウントを作成します. ここで取り上げた例の多くは COMSOL Multiphysics® ソフトウェアに組み込まれ ファイルメニューから利用できるアプリケーションライブラリからもアクセスできることに注意してください.
This benchmark model computes the total force acting on a vibrating disc in the frequency and time domains and compares both results with expressions derived analytically. When the vibration amplitude is small enough that the system is linear the frequency and time domain results agree ... 詳細を見る
This model computes the particle flux, number density and pressure on the surface of a plate that rotates in a highly directional molecular flow. The results obtained are compared with those from other, approximate, techniques for computing molecular flows. 詳細を見る
A stationary 3D model of a generic fuel cell cathode describing the mass fraction distribution of oxygen, water, and nitrogen, as well as the current distribution. The model uses Darcy's Law to describe convection, and couples this to Maxwell-Stefan diffusivities to also describe mass ... 詳細を見る
Copper electrowinning is the process of copper extraction from an electrolyte solution and its deposition at the cathode surface, by passing an external current through the electrolytic cell and using an insoluble anode. During the process, oxygen bubbles are generated at the anode ... 詳細を見る
This example models co-electrolysis of H2O and CO2 using a solid oxide electrolyzer cell. The model includes the full coupling between the mass balances and gas flow in the H2 and O2 gas diffusion electrodes, the momentum balances in the H2 and O2 gas flow channels, the energy balance ... 詳細を見る
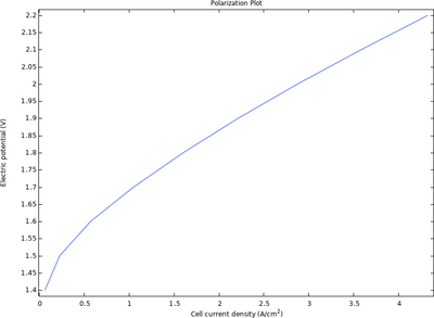
This model presents a study of the current density distribution in a solid oxide fuel cell (SOFC). The model includes the full coupling between the mass balances at the anode and cathode, the momentum balances in the gas channels, the gas flow in the porous electrodes, the balance of ... 詳細を見る
This example models a solid oxide electrolyzer cell wherein water vapor is reduced to form hydrogen gas on the cathode, and oxygen gas is evolved on the anode. The current distribution in the cell is coupled to the cathode mass transfer of hydrogen and water and momentum transport. Two ... 詳細を見る
This tutorial models how the relative humidity of the inlet gases impacts the performance of a low-temperature polymer electrolyte membrane-electrode assembly. The model includes humidity-dependent ionomer (electrolyte) conductivities, gas phase mass transport and water ionomer ... 詳細を見る
In a polymer electrolyte membrane water electrolyzer cell, hydrogen and oxygen gas is produced by electrolysis. The hydrogen and oxygen compartments are separated by a polymer membrane, that also acts as electrolyte. This introductory tutorial computes the ohmic and activation losses in ... 詳細を見る
This example extends the Fuel Cell Cathode tutorial to also include liquid water transport in the oxygen electrode. Liquid water is produced using a user-defined expression for vapor condensation, depending on the relative humidity level in the gas phase. An experimental capillary ... 詳細を見る
