アプリケーションギャラリには電気, 構造, 音響, 流体, 熱および化学分野に関連する COMSOL Multiphysics® チュートリアルおよびデモアプリファイルが用意されています. これらの例はチュートリアルモデルまたはデモアプリファイルとそれに付随する手順をダウンロードすることにより独自のシミュレーション作業の開始点として使用できます.
クイック検索機能を使用して専門分野に関連するチュートリアルやアプリを検索します. MPHファイルをダウンロードするには, ログインするか, 有効な COMSOL ライセンスに関連付けられている COMSOL Access アカウントを作成します. ここで取り上げた例の多くは COMSOL Multiphysics® ソフトウェアに組み込まれ ファイルメニューから利用できるアプリケーションライブラリからもアクセスできることに注意してください.
Liquid-solid mixtures (suspensions) are important in a variety of industrial fields, such as oil and gas refinement, paper manufacturing, food processing, slurry transport, and wastewater treatment. Several different modeling approaches have been developed by the CFD community, ranging ... 詳細を見る
以下の例は, COMSOL Multiphysics において, 2つの流体相を含む流体構造相互作用をモデル化する手法を示しています. 任意のラグランジュ・オイラー法 (ALE 法) と二相流, フェーズフィールドアプリケーションを用いて, より重い流体が障害物にどのような動きを引き起こすかを示しています. 詳細を見る
This example demonstrate two-phase flow in a porous medium which contains a low permeable lens. The heavier phase infiltrates the porous medium, so the low permeable lens is infiltrated only when a critical saturation at the outside is reached. 詳細を見る
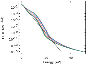
The electron energy distribution function (EEDF) plays an important role in the overall behavior of discharges. In this example, the formation period of an Argon plasma is studied with special attention paid to the EEDF. The plasma is created within a 4 cm gap by a DC source voltage of 1 ... 詳細を見る
This tutorial model illustrates how to analyze the thermal effects of the sun as an external radiative source and considers wavelength-dependent surface emissivities. Specifically, the model features two coolers containing beverage cans that are exposed to ambient conditions and a beach ... 詳細を見る
This tutorial models a DC glow discharge by solving fluid-type plasma equations fully coupled with the homogeneous and time-independent electron Boltzmann equation in the classical two-term approximation. The approximated Boltzmann equation is solved for each position of space and is ... 詳細を見る
This tutorial models an ICP reactor by solving plasma fluid type equations fully coupled with the homogeneous and time-independent electron Boltzmann equation in the classical two-term approximation. The approximated Boltzmann equation is solved for each position of space and is coupled ... 詳細を見る
In this example, a hydrogen plasma reactor at moderate pressure is studied using a global model. The heavy species heat equation is included. In the first part of the study, a Maxwellian electron energy distribution function is used. In the second part, the global model is solved self ... 詳細を見る
In a polymer electrolyte membrane fuel cell (PEMFC), water is produced at the cathode. The cell is also fed with water vapor via the inlet gas streams, in order to keep the polymer electrolyte membrane humidified. If the water partial pressure in the gas phase exceeds the vapor ... 詳細を見る
This model defines a zero-gap alkaline water electrolyzer, where oxygen and hydrogen gas are evolved in porous gas diffusion nickel felt electrodes, placed adjacent to a porous separator (diaphragm). The geometry defines a unit cell of an electrolyzer stack, in turn comprising two full ... 詳細を見る
