アプリケーションギャラリには電気, 構造, 音響, 流体, 熱および化学分野に関連する COMSOL Multiphysics® チュートリアルおよびデモアプリファイルが用意されています. これらの例はチュートリアルモデルまたはデモアプリファイルとそれに付随する手順をダウンロードすることにより独自のシミュレーション作業の開始点として使用できます.
クイック検索機能を使用して専門分野に関連するチュートリアルやアプリを検索します. MPHファイルをダウンロードするには, ログインするか, 有効な COMSOL ライセンスに関連付けられている COMSOL Access アカウントを作成します. ここで取り上げた例の多くは COMSOL Multiphysics® ソフトウェアに組み込まれ ファイルメニューから利用できるアプリケーションライブラリからもアクセスできることに注意してください.
In this example, a simplified micromechanical model of a unit cell with periodic boundary conditions is analyzed. The homogenized elastic and thermal properties of a composite material are computed based on individual properties of fiber and matrix. A comparison of numerical values are ... 詳細を見る
As integrated circuit (IC) technology advances, with circuits becoming more powerful and compact, it is increasingly important to identify and prevent any cause of circuit failure. One particularly critical factor contributing to circuit failure is electromigration within the ... 詳細を見る
This example shows how to use response spectrum analysis to verify the integrity of a structure that is exposed to an earthquake. The building is modeled as a steel frame, using beam elements. Displacements and stresses are computed. 詳細を見る
The fluid flow in seals causes a strong restoring radial force, opposing the shaft motion. Also, there is a cross coupled force due to the axial variation of the circumferential flow. The first type of force always has a stabilizing effect on the rotor, whereas the second one in certain ... 詳細を見る
In this example, the Bergstrom–Bischoff material model is used to model the temperature and strain dependent behavior of High Density Polyethylene (HDPE) used, for example, to make liners for damaged pipes in oil and gas applications, or to make type IV hydrogen storage vessels for fuel ... 詳細を見る
Powder compaction is a popular manufacturing process not only in powder metallurgy, but also in the pharmaceutical industry. The Capped Drucker–Prager model is commonly used for simulating the compaction processes of pharmaceutical powders, where the material properties depend on the ... 詳細を見る
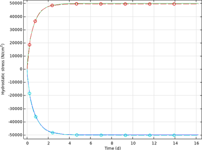
The powder compaction process is becoming common in the manufacturing industry, thanks to its potential to produce components of complex shape and high strength. In this example, the compaction of iron powder to form an axisymmetric rotational flanged component is analyzed with capped ... 詳細を見る
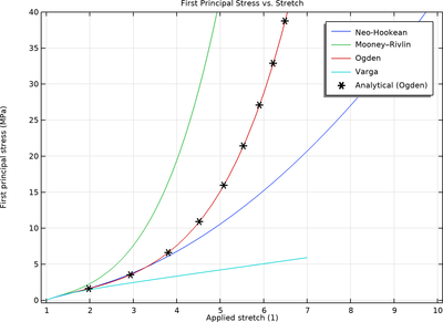
This model demonstrates the inflation of a rubber balloon with four different hyperelastic material models. The results are compared with the analytical solution for a thin-walled, spherical vessel. Controlling the inflation of hyperelastic balloons is important in clinical ... 詳細を見る
Chain drives are used for transmitting power from one shaft to another, located at some distance. This example simulates the dynamics of a chain sprocket assembly in 2D. The geometry consists of a roller chain wrapped around two sprockets. Both chain links and sprockets are assumed to be ... 詳細を見る
How well you can strike a golf ball is not only determined by your muscle strength, but more importantly it is influenced by the mechanics of golf swing. The outcome of golf stroke is basically determined by the movement of the club head just prior to the impact with the ball. In this ... 詳細を見る
