アプリケーションギャラリには電気, 構造, 音響, 流体, 熱および化学分野に関連する COMSOL Multiphysics® チュートリアルおよびデモアプリファイルが用意されています. これらの例はチュートリアルモデルまたはデモアプリファイルとそれに付随する手順をダウンロードすることにより独自のシミュレーション作業の開始点として使用できます.
クイック検索機能を使用して専門分野に関連するチュートリアルやアプリを検索します. MPHファイルをダウンロードするには, ログインするか, 有効な COMSOL ライセンスに関連付けられている COMSOL アクセスアカウントを作成します. ここで取り上げた例の多くは COMSOL Multiphysics® ソフトウェアに組み込まれ ファイルメニューから利用できるアプリケーションライブラリからもアクセスできることに注意してください.
Oscillating chemical reactions were long thought to simply not exist in homogeneous solution, and even the poster child, the Belousov–Zhabotinsky reaction, met such an initial skepticism, that even though it was discovered in 1951, it took almost 20 years for it to gain widespread fame. ... 詳細を見る
This model presents two examples of topology optimization of the magnetic circuit of a loudspeaker driver. A first optimization is used to find the design of a nonlinear iron pole piece and top plate that maximize the BL factor at the resting position (small displacements), while ... 詳細を見る
This example shows how to set up a piezoelectric transducer problem following the work of Y. Kagawa and T. Yamabuchi. The composite piezoelectric ultrasonic transducer has a cylindrical geometry that consists of a piezoceramic layer, two aluminum layers, and two adhesive layers. The ... 詳細を見る
The mutual inductance and induced currents between a single turn primary and twenty turn secondary coil in a concentric coplanar arrangement is computed using a frequency domain model. The secondary coil is modeled using a homogenized approach which does not explicitly consider each turn ... 詳細を見る
The design of antireflective coating plays an important role to increase the transmission of the infrared light that propagates through optical structures such as lens and windows. In this model, we showcase how different bulk structures such as Si and CZT that has the bulk ... 詳細を見る
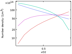
This tutorial model solves for an inductively coupled plasma reactor in a mixture of argon/oxygen. The model computes the fluid flow and gas heating. Important aspects and strategies for modeling electronegative discharges are discussed. 詳細を見る
モード解析は, 複雑な導波管構造におけるモード特性の調査を可能にするため, 幅広い無線周波数および波動光学計算における基本的なツールです. このチュートリアルモデルでは, このような研究のための一般的な設定と最適なモデリング手法を示す2つの例を紹介します. 例1では, 同軸ケーブルのモード解析を実行する方法を説明します. 目標は, 様々な周波数範囲における主TEMモードと最初の高次 TE11 モードの特性を定義することです. 例2では, リブ導波管のモード解析を実行する方法を説明します. 目標は, コア幅の範囲において, ... 詳細を見る
The Helmholtz filter is a popular technique for imposing a minimum length scale in structural topology optimization, but certain applications also call for a maximum length scale. This model demonstrates how to achieve this using an extra PDE filter. 詳細を見る
This example of a plasmonic waveguide filter shows that the waveguide rejects the electromagnetic radiation of the wavelength between 1.4 um and 1.6 um, but allows the rest of the wavelength. The silver material can be modeled using the Drude-Lorentz approximation, with ε∞ = 3.7, ωp = 13 ... 詳細を見る
