アプリケーションギャラリには電気, 構造, 音響, 流体, 熱および化学分野に関連する COMSOL Multiphysics® チュートリアルおよびデモアプリファイルが用意されています. これらの例はチュートリアルモデルまたはデモアプリファイルとそれに付随する手順をダウンロードすることにより独自のシミュレーション作業の開始点として使用できます.
クイック検索機能を使用して専門分野に関連するチュートリアルやアプリを検索します. MPHファイルをダウンロードするには, ログインするか, 有効な COMSOL ライセンスに関連付けられている COMSOL アクセスアカウントを作成します. ここで取り上げた例の多くは COMSOL Multiphysics® ソフトウェアに組み込まれ ファイルメニューから利用できるアプリケーションライブラリからもアクセスできることに注意してください.
Reflective mufflers are best suited for the low-frequency range where only plane waves can propagate in the system, while dissipative mufflers with fibers are efficient in the mid- to high-frequency range. Dissipative mufflers based on flow losses, on the other hand, also work at low ... 詳細を見る
Interference fit is a technique used to join or fit one part over or around another part. The internal part is cooled, so that it shrinks, and is then fitted. Once the part heats up again and expands, a contact pressure builds up at the interface between the two parts. This type of ... 詳細を見る
This tutorial analyzes the DC characteristics of an InSb p-Channel FET, using the density-gradient theory to add the effect of quantum confinement to the conventional drift-diffusion formulation, without a large increase of computational resources. The confinement effect is applied both ... 詳細を見る
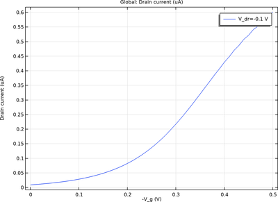
An ion-sensitive field-effect transistor (ISFET) is constructed by replacing the gate contact of a MOSFET with an electrolyte of interest. The concentration of a specific ionic species in the electrolyte can be determined by measuring the change in the gate voltage due to the interaction ... 詳細を見る
This model shows how to model an electrolyte-gated organic field-effect transistor based on a general drift-diffusion model. The model uses the Stabilized Convection-Diffusion Equation interface and the Electrostatics interface. The transistor characteristics are visualized. Formation of ... 詳細を見る
In a polymer electrolyte membrane electrolyzer cell (PEMEC), the two electrode compartments are separated by a polymer membrane. Liquid water is fed to the anode side, forming oxygen gas on the anode, and hydrogen gas on the cathode side, respectively. The respective designs of the ... 詳細を見る
The model simulates non-premixed turbulent combustion of syngas (synthesis gas) in a simple round-jet burner. Syngas is a gas mixture, primarily composed of hydrogen, carbon monoxide and carbon dioxide. The name syngas relates to its use in creating synthetic natural gas. In the model, ... 詳細を見る
Multipaction can occur when electrons are accelerated by a high frequency RF field into surfaces. At certain frequencies, the number of electrons in a cavity can grow exponentially. This exponential growth cannot continue indefinitely because space charge effects in the cavity can ... 詳細を見る
In static mixers, also called motionless or in-line mixers, a fluid is pumped through a pipe containing stationary blades. This mixing technique is particularly well suited for laminar flow mixing because it generates only small pressure losses in this flow regime. This example studies ... 詳細を見る
この例では, 油水懸濁液がオリフィスを通過する乱流流れを考慮します. 懸濁液がオリフィスを通過する際, 油滴は乱流応力によって小さな液滴に分割されます. このモデルの目的は, 液滴サイズの分布を追跡することです. 液滴サイズ分布は, 直径の異なる5つの液滴集団に離散化されます. このモデルは, 相輸送混合モデル, 乱流, k-ε マルチフィジックスインターフェースを用いて, 混合物の流れ場と, 異なる液滴集団の輸送を計算します. 詳細を見る
