研究開発におけるマルチフィジックスシミュレーションの具体例
さまざまな業界のエンジニア, 研究者, 科学者がマルチフィジックスシミュレーションを使用して革新的な製品の設計とプロセスを研究および開発しています. COMSOL カンファレンスで発表したテクニカルペーパーやプレゼンテーションからインスピレーションを得てください. 以下の選択項目を参照するか, クイック検索ツールを使用して特定のプレゼンテーションを検索するか, アプリケーション領域でフィルタリングします.
COMSOL Conference 2024 論文集を見る
Modified Atmosphere Packaging (MAP) is a widely applied technology for the shelf-life extension of fresh and fresh-cut fruits and vegetables. This technique relies on modifying the gas composition inside de package by the respiratory activity of the product and the gas exchange through ... 詳細を見る
Figure 1 shows a simplified scheme of a typical industrial steam methane reforming (SMR) reactor, which is a top-fired, packed-bed multi-tubular chemical reactor, consisting of a series of catalytic tubes arranged within a furnace. The tubes contain two adjacent catalytic sections filled ... 詳細を見る
Electrochemical Impedance Spectroscopy (EIS) is a technique commonly used to investigate the properties of the electrode surface and the bulk electrolyte in an electrochemical cell [1]. An AC excitation signal is applied with a frequency range, typically from 0.01 Hz to 1 MHz, and the ... 詳細を見る
The throwing power is an important criterion for the industrial use of an electrolyte in electroplating applications. Using the Electrodeposition Module and COMSOL Multiphyiscs® it is possible to simulate the thickness distribution for various electroplating geometries. For a realistic ... 詳細を見る
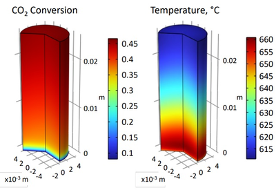
Power-to-gas is an important area of research for reducing greenhouse gases and seasonal energy storage. Methane, with a Lower Heating Value of 50 MJ/kg, is already a commonly used gas, and its synthesis using green hydrogen production (electrolysis of renewable energy) is a remarkable ... 詳細を見る
The "Power to Gas" technology is a promising alternative for storing renewable electrical energy through energy carriers. This technology involves using surplus energy from renewable sources to obtain green hydrogen through water electrolysis. Since hydrogen storage and transportation ... 詳細を見る
Activated carbon filtration has proven to be a reliable method to clean indoor air. In such a system, air, contaminated with VOCs, is led through the filter where the contaminants are adsorbed onto the filter. However, for the long term stability of the air purification system, it is ... 詳細を見る
The blast furnace shaft is a huge counter flow reactor in which heat and mass exchange play a significant role in its mathematical modelling. The heat exchange model is already available in COMSOL Multiphysics® via the Local Thermal Non-Equilibrium interface. This multiphysics coupling ... 詳細を見る
Heterogeneous photocatalysis an advanced oxidation process (AOP) which in combination with a catalyst and UV irradiation completely mineralizes organic pollutants from water or gases into harmless compounds such as carbon dioxide (CO2) and water (H2O). Photocatalysis as a process is ... 詳細を見る
In the construction sector, the concrete and the steel bars represent still the key components, although they are very vulnerable by the atmospheric agents, as in the case of their degradation caused by corrosion. The value of the concrete carbonation may enhance the corrosion around the ... 詳細を見る
