Discussion Closed This discussion was created more than 6 months ago and has been closed. To start a new discussion with a link back to this one, click here.
Displacement limit in electromagnetic actuator
Posted 2016/03/02 5:31 GMT-5 Low-Frequency Electromagnetics, Studies & Solvers Version 5.1 8 Replies
Please login with a confirmed email address before reporting spam
I am trying to simulate the displacement of a plunger in an actuator due to the effect of the forces ( the model includes permanent magnets and a coil), so for my transient analysis I am coupling the magnetic fields physics to calculate the magnetic force and then I am using the solid mechanics to calculate the displacement due to the total forces.
There is a limited space for the plunger to move in, until it reaches the fixed boundary of the steel body (both directions). The problem I have is that after performing a time - dependent study, the plunger ignores the steel body and does not stop at the fixed boundary and keeps going at the same direction interfering with the body. I have used the spring foundation node to make it stop, but the results are not as expected. Is there any way to set the displacement limits in the model? Do you think the reason for that is maybe the wrong definition of the total force?
Another trial I am trying to do is to use the global ODEs and DAEs to define the Newton's Law of motion, but it does not seem to work correctly.
Can you please help?
Regards,
Pavlos.
Please login with a confirmed email address before reporting spam
You need to add a stop condition to your solution, so for example if you have a displacement of "s", you will need to add a stop condition for when "s" exceeds a certain value, see attached screenshot.
It sounds like you a re modelling a latching solenoid actuator? I have done some work on these too and used the approach above with success.
Are you looking at the material stresses in your model? You say that you are using the Solid Mechanics interface. If you are not interested in the material stresses, you can remove the Solid Mechanics interface and just solve for the equation of motion, (including gravity, mass and any spring forces within that equation), due to the electromagnetic forces. Let me know if you need help setting this up...
The stop condition can be added by right clicking on your time dependant solver and entering an appropriate terms for the stop condition. In my model, I have set the solution to stop when the magnitude of the plunger displacement is greater than 1mm.
Hope this helps!
Mark
Attachments:
Please login with a confirmed email address before reporting spam
Thanks for the reply. It was very helpful. Indeed, I am modelling a solenoid latching actuator.
I am running now a simulation with the stop condition and let you know for the results or if I have any issue. I made a study of few milliseconds and it works.
Another question:
At the moment, I am using two models. In the second one, I have replaced the solid mechanics with a global ODEs and DAEs physics and applied the Newton's Law of motion.
Regarding the physics, the armature should start moving when the applied force (electromagnetic force from the coil) is higher than the magnetic lathing force and the other forces (spring, mass etc.).
The problem I have is that it starts moving immediately, so I assume this happens due to wrong definition of the forces?
Regards,
Pavlos.
Please login with a confirmed email address before reporting spam
That is certainly possible. It might be worth having Comsol calculate the individual contributions to force over time, just to check that your force definitions are correct, (i.e. make sure your moving mass is correct, make sure that the spring forces are calculating out correctly, make sure your electromagnetic force is "believable"). This should eliminate any errors in the individual force definitions. Also check that your force definitions are in the correct direction, depending on how you have orientated your model.
How are you energising your coil? Capacitor discharge, Current or DC voltage driven?
For a voltage driven device, your current should be ramping up from zero fairly slowly (due to highly inductive coil/magnetic circuit). You may need to add boundary elements to your conductive regions to properly simulate the eddy currents. I would be surprised if you are see in immediate movement in this case, as the current will take some time to ramp up in the coil.
The latching solenoid I have modelled uses an external capacitor as the energisation mechanism, and I see exactly what you describe, pretty much immediate movement, (the current flow in the coil is immediate).
For a voltage driven device, one would expect the current to ramp up relatively slowly and take some time for the force due to the coil/spring to overcome the permanent magnet bias and other forces resisting release of the plunger.
Would be interested to hear how you get on!
Please login with a confirmed email address before reporting spam
Hi Pavlos,
That is certainly possible. It might be worth having Comsol calculate the individual contributions to force over time, just to check that your force definitions are correct, (i.e. make sure your moving mass is correct, make sure that the spring forces are calculating out correctly, make sure your electromagnetic force is "believable"). This should eliminate any errors in the individual force definitions. Also check that your force definitions are in the correct direction, depending on how you have orientated your model.
Hi Mark,
I am just checking the forces to confirm they are correctly setup.
How are you energising your coil? Capacitor discharge, Current or DC voltage driven?
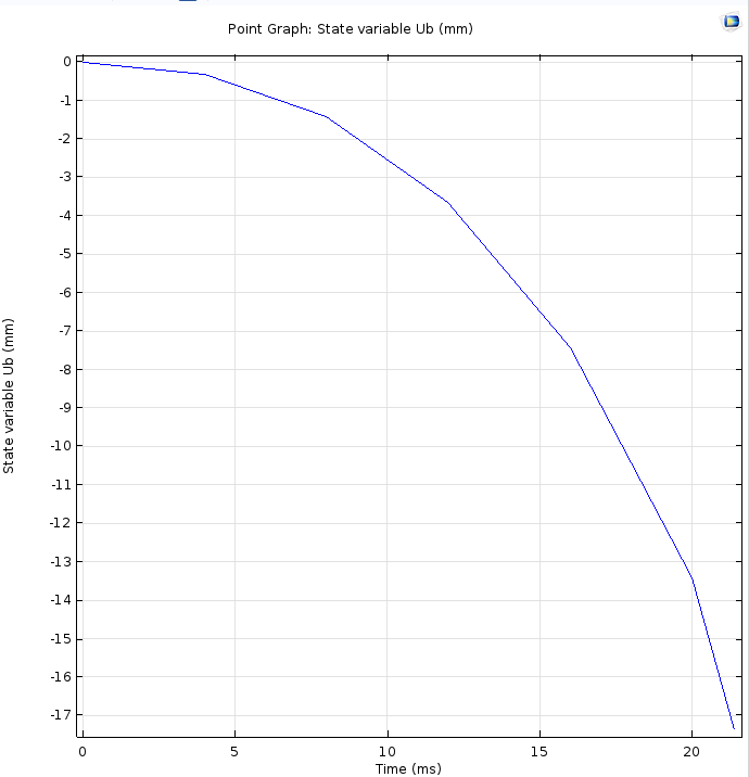
I am energising the coil by applying a current pulse and the calculated coil current is of the shape in the attached screenshot.
Based on testing in the geometry I am modelling, this current pulse is sufficient to move the armature by 12 mm, so the armature does not reach 17 mm, as it happens in my model. Any ideas?
For a voltage driven device, your current should be ramping up from zero fairly slowly (due to highly inductive coil/magnetic circuit). You may need to add boundary elements to your conductive regions to properly simulate the eddy currents. I would be surprised if you are see in immediate movement in this case, as the current will take some time to ramp up in the coil.
The latching solenoid I have modelled uses an external capacitor as the energisation mechanism, and I see exactly what you describe, pretty much immediate movement, (the current flow in the coil is immediate).
For a voltage driven device, one would expect the current to ramp up relatively slowly and take some time for the force due to the coil/spring to overcome the permanent magnet bias and other forces resisting release of the plunger.
I have setup the boundary mesh in the boundaries surrounding the coil, but I cannot see no difference.
Alright, so have you got the same results then, regarding the movement of the armature (immediate movement of the plunger)?
Just a simple question, are you using the moving mesh in your model? Or you just use the global ODEs and DAEs physics, where you define the forces?
I have attached some screenshots of the current and displacement.
Regards,
Pavlos.
Please login with a confirmed email address before reporting spam
I used the global equations to define the Newtons Law of motion using the displacement as a parameter.
So I have setup this equation:
M*Ubtt+Magnetic force-Spring force,
where M= mass of the plunger, Ubtt=acceleration (computed by Comsol).
And I have set a stop condition in the study to stop when abs(Ub)>=17 mm.
Based on the experiments we have done in our test facilities, the current pulse I apply allows for a movement of the plunger of 12mm after 60 ms. In my model, the plunger reaches 17mm after 16 ms, so I think or I am not including all the forces, or I am defining them wrong. Really what should be happening is for the plunger to reach a certain value of displacement and stay there.
The better meshing for the coil or the gravity did not delay the movement in this case.
Just to mention that I start the simulation with an air gap of 0.01mm between the plunger and the steel fixed body (in order to take into account the magnetic latching force. Is this correct?
Any ideas?
Is there any model you could share?
Kind regards,
Pavlos.
Please login with a confirmed email address before reporting spam
My model is a slightly different setup from yours by the sound of things. I use a voltage (applied with a smoothed step function) applied to the coil and I let the numeric coil calculation determine the rate at which the current ramps up in the coil. I am using the Moving Mesh (ale) interface.
I am noticing that my solenoid starts moving very quickly, and I believe the reason for this is that I have not defined my forces correctly. In the actual device, as well as there being a spring rate, there is a spring pre-load, which the EM force must overcome in order to start moving the plunger. The trouble is, with this spring pre-load in the model, the plunger just flies out of the bore of the coil (in reality there is hardware to prevent this in the actual device). I am not sure how to add the pre-load, but only allow plunger movement in the negative z direction (in my case).
I am still refining my model, but will be happy to share once I have run a couple more iterations.
What version of Comsol are you using? I am on v5.1 but am schedule to update to 5.2 on Monday.
Mark
Please login with a confirmed email address before reporting spam
You may as well take a look at an existing iteration of my model, just in case there is something useful in there. Note that this model does not include the boundary elements or the spring pre-load as discussed above.
Adding boundary elements seems to affect the convergence in this particular model, (though I have implemented them on other models with a little more success). Just need to refine how I define the boundary elements I guess.
I will try and refine my model further and get back to you with any developments. I am happy to take a look at your model if you would like me to?
Thanks,
Mark
Attachments:
Please login with a confirmed email address before reporting spam
Thanks for sharing your model. In my model, I have also included the spring pre-load in the spring force.
In my case, based on the experimental data, the plunger moves about 8 mm and then it needs other 8+5 mm to latch eventually. So I have defined a piece wise function e.g.
From 0 to 8 (mm) : I have a force which helps the plunger to de - latch from its initial position
From 8 to 13 (mm) : Preload (Constant) + k *(u-8),
where u is the displacement defined as a variable in the global equations.
I attach you a screenshot that may be helpful for you (the y axis is the force and the x axis is the displacement. so at 8 mm, you can see the preload (straight line going down) and after that the spring force is acting.
Regards,
Pavlos.
Attachments:
Note that while COMSOL employees may participate in the discussion forum, COMSOL® software users who are on-subscription should submit their questions via the Support Center for a more comprehensive response from the Technical Support team.
