Note: This discussion is about an older version of the COMSOL Multiphysics® software. The information provided may be out of date.
Discussion Closed This discussion was created more than 6 months ago and has been closed. To start a new discussion with a link back to this one, click here.
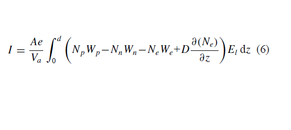
the Laplacian electric field
Posted 2017/02/19 15:11 GMT-5 Low-Frequency Electromagnetics, Chemical Reaction Engineering, Parameters, Variables, & Functions Version 4.3 0 Replies
Please login with a confirmed email address before reporting spam
Attachments:
Hello Amiour Nesrine
Your Discussion has gone 30 days without a reply. If you still need help with COMSOL and have an on-subscription license, please visit our Support Center for help.
If you do not hold an on-subscription license, you may find an answer in another Discussion or in the Knowledge Base.
