Discussion Closed This discussion was created more than 6 months ago and has been closed. To start a new discussion with a link back to this one, click here.
implementation of Complex conjugate in PDE
Posted 2011/03/21 1:57 GMT-4 1 Reply
Please login with a confirmed email address before reporting spam
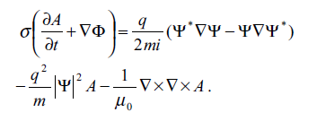
Hello, I am trying to solve the time dependent Ginzburg-Landau equation, which incorporates the complex number and complex conjugate function. I have no idea how to handle the complex things in PDE. Please help me how to do that.
Attachments:
1 Reply Last Post 2011/03/21 4:15 GMT-4
