Discussion Closed This discussion was created more than 6 months ago and has been closed. To start a new discussion with a link back to this one, click here.
User Defined Thermally Induced Creep
Posted 2017/12/12 2:06 GMT-5 Structural & Acoustics, Heat Transfer & Phase Change, Structural Mechanics Version 5.3 10 Replies
Please login with a confirmed email address before reporting spam
Hello!
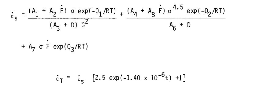
I am modelling thermally induced creep for UO2 nuclear fuel. The stresses are thermal stresses resulting from a stationary thermal and structural study done before the time-dependent creep study. I have two questions: 1. How can I use the stress results from the stationary initial study as input for the time-dependent creep study? 2. I am using a user defined creep model for UO2, and when I choose User Defined in the creep, it asks me for a creep tensor (the model is in the attached image). How to define the creep tensor using the model?
Thank you in advance!
Attachments:
Please login with a confirmed email address before reporting spam
Hi,
Are the stresses assumed to be constant during the creep process? That is, are they not affected by the creep strains?
The most natural approach to me would be to solve the heat transfer problem only in a first stationary study step, and then a time dependent problem in Solid Mechanics based on the computed temperatures. But then the stresses may of course change due to the creep.
As for the creep input, you first have to decide if the creep process is deviatoric, that is volume preserving. If so, you only need to input a scalar creep rate (by using the Deviatoric option, rather than the User Defined). Since your equation looks scalar, it does not seem like there is any more information anyway. Basically, you just need to type in the expression you attached as the ceep rate, but the stress should be the von Mises stress.
Regards,
Henrik
-------------------Henrik Sönnerlind
COMSOL
Please login with a confirmed email address before reporting spam
Hello Henrik,
Thank you for your response.
"Are the stresses assumed to be constant during the creep process? That is, are they not affected by the creep strains?" - My problem starts with a heat transfer and solid mechanics stationary study to account for the temperature profile and the thermal stresses. The only source of stress is the thermal stress (which is the von Mises stress) in the stationary study and the creep time-dependent study. - As the temperature profile is constant (from a constant heat source), the thermal stress should be constant until the end of the stationary study. - After that, when the creep starts, I think the stresses should change due to the creep and deformation taking place, isn't that correct?
Based on the information above, is this case still falls into the Deviatoric option?
About taking the stress and temperature results from the stationary study as inputs for the creep time-dependent study. How do I do it?
Thank you again and looking forward to seeing from you,
Regards, Faris
Please login with a confirmed email address before reporting spam
Hi Faris,
The way you describe it, you do not explicity have to move any stresses. Just place two study steps in the same study. The first is Stationary. There you solve for the temperature field. You may choose to solve also for the Solid Mechanics (with the Creep node disabled) to see the stress field, but that is not strictly necessary.
The second study step is Time Dependent. There you solve only for Solid Mechanics. The temperatures are picked up from the previous step, and thus induce thermal stresses.
As for wheter the creep is deviatoric or not, that is a more fundamental question, which only can be answered by experiments, or by the source from where you got the creep law. However, most creep processes are volume preserving, and thus deviatoric.
Regards,
Henrik
-------------------Henrik Sönnerlind
COMSOL
Please login with a confirmed email address before reporting spam
Hello Henrik,
Thank you for responding again, your time and effort are much appreciated.
I solved the stationary study first containing the temperature calculations and the thermal stresses. The time-dependent study is for creep.
My question is, how to tell COMSOL to pick up the stress from the stationary study in the creep time-dependent study? how do I refer to it in the equations? For the temperature, I used T as the common variable, but for the stresses, it is sigma (σ) in the equations, so how can I refer to that when defining the creep rate equations?
One more thing, If I have creep resulting from two types of stresses: the thermal stress and the effective stress (the system stress due to the pressure difference), how do I create a variable containing the thermal stress from the stationary study and the effective stress (which I have equations for)?
Thank you again for your time and looking forward to seeing from you,
Regards,
Faris
Please login with a confirmed email address before reporting spam
Hi Faris,
The stress in the time dependent study is computed there, based on the temperatures. That is why I said that it is optional to solve for Solid Mechanics in the Stationary study step. That solution will be the same as what you get at t=0 in the Time Dependent study step.
Since the temperarature is not solved for in the transient study, it automatically takes the value from the preceeding stationary study.
The effective stress variable which you will use the the creep rate expression is 'solid.mises'.
Effective stress can unfortunatly have two meanings.
- Sometimes it means just the equivalent stress (like Tresca or von Mises)
- Particularly in geomechanics and porous media, it means a stress tensor which is corrected for the pore pressure (a non-structural contribution). Pore pressures can be added using the 'External Stress' node.
If the 'pressure difference' load is an external mechanical load, you just add it as a boundary load, and it will be superimposed on the thermal stresses.
Regards,
Henrik
-------------------Henrik Sönnerlind
COMSOL
Please login with a confirmed email address before reporting spam
Hello Henrik,
Thanks for the response, it was very helpful.
I have used 'solid.mises' as the stress in the expression but I got an error, please find the attachment.
How can I solve this?
Regards, Faris
Attachments:
Please login with a confirmed email address before reporting spam
Hi Faris,
Your error message does not really give enough information, but it seems to contain two issues. One is related to a user defined function. The variable solid.mises in itself should be well defined, as long as the physics interface has the tag 'solid'.
Regards,
Henrik
-------------------Henrik Sönnerlind
COMSOL
Please login with a confirmed email address before reporting spam
Dear Henrik,
I have solved the above problem as I used solid.mises in the creep function not as a global definition.
But I now have two problems:
1.In the time-dependent study step, if i solve for the solid mechanics (thermal expansion stresses), the solution does not converge. 2. If I remove the selection of the solid mechanics (thermal expansion stresses) when solving the time dependent study step, the creep stress result is zero.
Any possible issue causing that?
Thank you,
Regards,
Faris
Attachments:
Please login with a confirmed email address before reporting spam
Hi Faris,
Your screenshot implies that you have three different physics interfaces. That would not be a standard appoach for the kind of simulation you have been outlining.
The coupling between the physics interfaces would become more complex in this case, because you would have to transfer stresses and strains. Is it really needed? If so, you should probably contact support.
Regards,
Henrik
-------------------Henrik Sönnerlind
COMSOL
Please login with a confirmed email address before reporting spam
Mr. Henrik,
Thank you very much, your answers have been very helpful to me!
Regards,
Faris
Note that while COMSOL employees may participate in the discussion forum, COMSOL® software users who are on-subscription should submit their questions via the Support Center for a more comprehensive response from the Technical Support team.
Suggested Content
- BLOG Modeling Thermal Fatigue in Nonlinear Materials
- KNOWLEDGE BASE Circular Function Dependency Detected
- BLOG Using the New Ray Tracing Algorithm in COMSOL Multiphysics® 5.2a
- FORUM Problem in Defining a New User-Defined Creep Law in COMSOL.
- BLOG Studying the Influence of Concrete Phenomena on Sensor Performance
