Discussion Closed This discussion was created more than 6 months ago and has been closed. To start a new discussion with a link back to this one, click here.
Seeking help for Solid State Li battery modeling
Posted 2018/11/13 15:33 GMT-5 Battery Design, Electrochemistry, Equation-Based Modeling 0 Replies
Please login with a confirmed email address before reporting spam
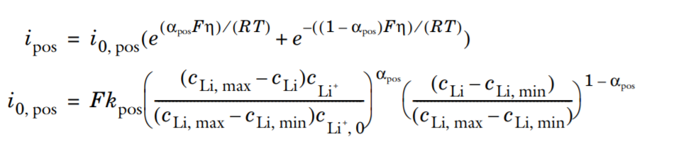
I'm working on a project for my master thesis. I need to simulate a solid state li battery but unfortunatly our school doen't provide the liscence for the battery simulation. Therefore, I'm doing it with equetion based modeling. The problem that I face with is that I cannot cuople the DAE for current with the other two PDEs since the variables are unknown for the DAE.
I would be really grateful if you have any suggestion with my modeling as my thesis depends on it.
Also the sample of what I'm doing can be found in comsol website: https://www.comsol.com/model/all-solid-state-lithium-ion-battery-12451
Attachments:
Hello Armin Abbasalinejad
Your Discussion has gone 30 days without a reply. If you still need help with COMSOL and have an on-subscription license, please visit our Support Center for help.
If you do not hold an on-subscription license, you may find an answer in another Discussion or in the Knowledge Base.
