Discussion Closed This discussion was created more than 6 months ago and has been closed. To start a new discussion with a link back to this one, click here.
mismatch between a simple linear-elastic model and pde-based model
Posted 2019/09/24 11:58 GMT-4 Geomechanics, Parameters, Variables, & Functions, Structural Mechanics, Equation-Based Modeling Version 5.4 0 Replies
Please login with a confirmed email address before reporting spam
Hi there,
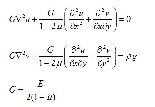
Good day! I developed a simple linear-elastic model (2D, plain strain, static/steady-state) using both the structural mechanic's interface and PDE-based equation. However, they didn't match each other, especially for a different trend of horizontal displacement.
The model files and figures are attached. I thought the results of pde-based mode is meaningful while the linear-elastic interface is some strange. By having tested it many times, I still got frustrated with the different values of the horizontal strain. I'm wondering why they don't match each other. Could you please help me check it?
Thank you very very much!! Jon
Attachments:
Hello Jon Weaver
Your Discussion has gone 30 days without a reply. If you still need help with COMSOL and have an on-subscription license, please visit our Support Center for help.
If you do not hold an on-subscription license, you may find an answer in another Discussion or in the Knowledge Base.
