Victor Manuel Rodriguez Zermeno
                                                                                                                                                 
                            
                         
                                                
    
        Please login with a confirmed email address before reporting spam
     
    
 
                                                Posted:
                            
                                1 decade ago                            
                            
                                2012/03/25 15:04 GMT-4                            
                        
                        
                                                    You need to define domain (0,d), then set create a coupling operator on it.
Suppose intop1 is the operator. Then you have for the fist equation:
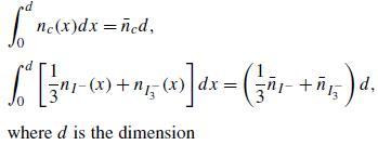
intop1(n_c(x))=ñ_c*d
I hope this helps.
Victor
                                                
                                                
                            You need to define domain (0,d), then set create a coupling operator on it.
Suppose intop1 is the operator. Then you have for the fist equation:
intop1(n_c(x))=ñ_c*d
I hope this helps.
Victor
                        
                                                
                                                                                                            
                                             
                                            
                                                
    
        Please login with a confirmed email address before reporting spam
     
    
 
                                                Posted:
                            
                                1 decade ago                            
                            
                                2012/03/27 16:23 GMT-4                            
                        
                        
                                                    Thank you, but where shall I define the operator intop1? Is it in the "Subdomain Integration Variable" submenu?  
And where shall I input the equation?                                                 
                                                
                            Thank you, but where shall I define the operator intop1? Is it in the "Subdomain Integration Variable" submenu?  
And where shall I input the equation?                         
                                                
                                                                                                            
                                             
                                            
                                                
    
        Please login with a confirmed email address before reporting spam
     
    
 
                                                Posted:
                            
                                1 decade ago                            
                            
                                2012/03/27 16:55 GMT-4                            
                        
                        
                                                    I cannot input the equation as it appears, can I? I mean, you cannot enter "=" in an expression...                                                
                                                
                            I cannot input the equation as it appears, can I? I mean, you cannot enter "=" in an expression...                        
                                                
                                                                                                            
                                             
                        
                        
                                                
    
        Please login with a confirmed email address before reporting spam
     
    
 
                                                Posted:
                            
                                1 decade ago                            
                            
                                2012/03/27 17:33 GMT-4                            
                        
                        
                                                    check how it's done in "An Integro-Partial Differential Equation" example. I think it has what you need.                                                
                                                
                            check how it's done in "An Integro-Partial Differential Equation" example. I think it has what you need.