Discussion Closed This discussion was created more than 6 months ago and has been closed. To start a new discussion with a link back to this one, click here.
How can i modify the PDE used by Comsol by default??
Posted 2020/11/26 10:01 GMT-5 Computational Fluid Dynamics (CFD), Heat Transfer Version 5.5 0 Replies
Please login with a confirmed email address before reporting spam
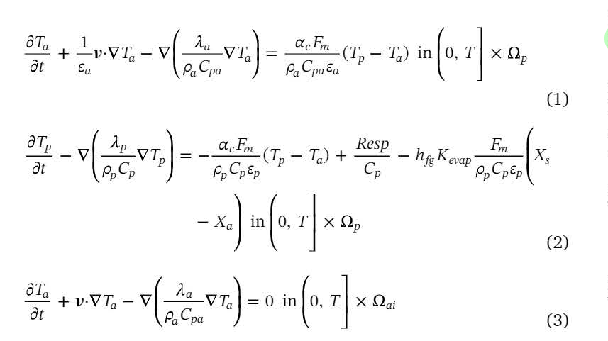
Hii Comsol Users... I am new to Comsol and having few doubts, expecting help from this platform. I am using heat transfer in porous media physics interface but the PDE that governs the physical phenomenon and physiological process of my simulation study does not match with the PDE used by Comsol by default. Although both the PDEs are of the same form (consevation of Energy equation) but some parameters, coefficients and LHS terms differ in them. Here i have attached both the PDEs please see. Can i modify Comsol PDE to incorporate all the parameters and terms used in PDEs used for my study?? or can i insert these three PDEs by using Mathematics interface?
Attachments:
Hello Shivendra Patel
Your Discussion has gone 30 days without a reply. If you still need help with COMSOL and have an on-subscription license, please visit our Support Center for help.
If you do not hold an on-subscription license, you may find an answer in another Discussion or in the Knowledge Base.
