Discussion Closed This discussion was created more than 6 months ago and has been closed. To start a new discussion with a link back to this one, click here.
User define Temperature dependent ionic conductivity
Posted 2021/03/20 6:11 GMT-4 Battery Design 0 Replies
Please login with a confirmed email address before reporting spam
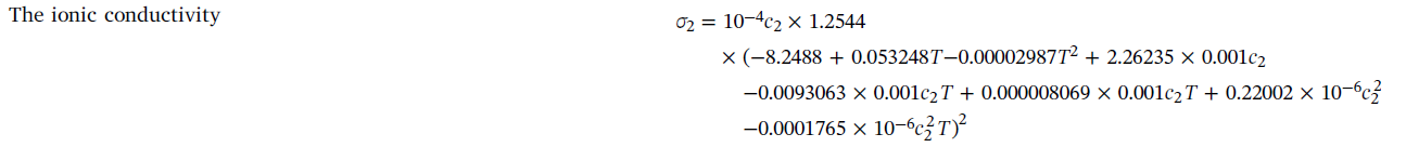
Hello every one. I am working in lithium ion battery where i need to put temperature dependent ionic conductivily of electrolyte. How can i write this equation (attached below) in COMSOL. Thanks
Attachments:
Hello Mohammad Faizan
Your Discussion has gone 30 days without a reply. If you still need help with COMSOL and have an on-subscription license, please visit our Support Center for help.
If you do not hold an on-subscription license, you may find an answer in another Discussion or in the Knowledge Base.
