Discussion Closed This discussion was created more than 6 months ago and has been closed. To start a new discussion with a link back to this one, click here.

Derived Values - Surface Integral, adding an equation

Please login with a confirmed email address before reporting spam

Hello,

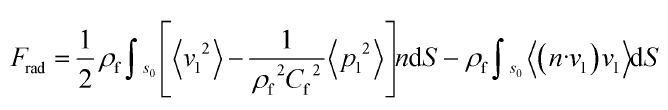
I need to calculate the acoustic radiation force on a particle within an acoustic field. I need to use the time-averaged acoustic pressure field as well as the time-averaged velocity and the equation consists of 2 integrals. Since I need the pressure and velocity fields the calculation should be done in the derived values sections. However, I am uncertain how to incorporate the equation within the surface integral. The equation is shown in the image. Thanks!



0 Replies Last Post 2021/09/16 4:08 GMT-4
COMSOL Moderator

Hello C R

Your Discussion has gone 30 days without a reply. If you still need help with COMSOL and have an on-subscription license, please visit our Support Center for help.

If you do not hold an on-subscription license, you may find an answer in another Discussion or in the Knowledge Base.

Note that while COMSOL employees may participate in the discussion forum, COMSOL® software users who are on-subscription should submit their questions via the Support Center for a more comprehensive response from the Technical Support team.