Discussion Closed This discussion was created more than 6 months ago and has been closed. To start a new discussion with a link back to this one, click here.
What best physics I need to use to model convection coupled with mass transfer in a square cavity?
Posted 2022/02/22 13:53 GMT-5 Structural & Acoustics, Fluid & Heat, Computational Fluid Dynamics (CFD) Version 5.6 0 Replies
Please login with a confirmed email address before reporting spam
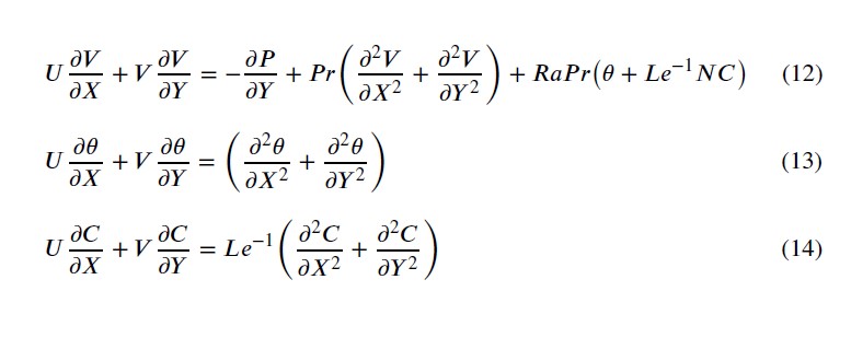
I am tried to simulate heat and mass trasnfer in a square cavity as shown in Fig. with Air+CO2 mixture in which the vertical walls of cavity is differentially heated and kept in different concentrations. The flow inside the cavity is laminar. May somebody guide me to the proper physics I need to employ to study this case? I was uploaded pictures to the equations forumations I need to employ to make the problem more understandable.
Many thanks for reply
Hello Khalid Saleem
Your Discussion has gone 30 days without a reply. If you still need help with COMSOL and have an on-subscription license, please visit our Support Center for help.
If you do not hold an on-subscription license, you may find an answer in another Discussion or in the Knowledge Base.

