Note: This discussion is about an older version of the COMSOL Multiphysics® software. The information provided may be out of date.
Discussion Closed This discussion was created more than 6 months ago and has been closed. To start a new discussion with a link back to this one, click here.
Modelling Cavitation Bubble Radius Oscillation using Equation Based Modelling
Posted 2013/01/11 9:15 GMT-5 Modeling Tools & Definitions, Parameters, Variables, & Functions, Results & Visualization, Studies & Solvers Version 4.2a 2 Replies
Please login with a confirmed email address before reporting spam
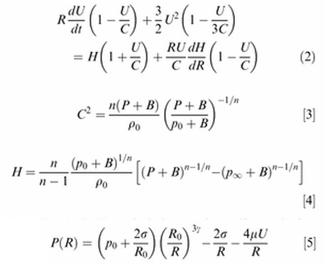
Hello, I am trying to model the radius, R(t), oscillation of a cavitation bubble in liquid (compressible) subjected to alternating pressure at ultrasonic frequency. I would like to model the radius oscillation using the Gilmore model equation as shown in the attached .jpeg file.
The link to the published paper is as follows: link.springer.com/content/pdf/10.1007%2Fs11661-012-1188-3
I have tried to model equation (2) through the ODE module and by specifying the derivative of H by d(H,R), and managed to get the model running. However, the result seems to be very different from the results for the change in the bubble radius, R(t), presented in the paper.
Kind regards,
Charles
The link to the published paper is as follows: link.springer.com/content/pdf/10.1007%2Fs11661-012-1188-3
I have tried to model equation (2) through the ODE module and by specifying the derivative of H by d(H,R), and managed to get the model running. However, the result seems to be very different from the results for the change in the bubble radius, R(t), presented in the paper.
Kind regards,
Charles
Attachments:
2 Replies Last Post 2013/01/11 14:49 GMT-5
