Note: This discussion is about an older version of the COMSOL Multiphysics® software. The information provided may be out of date.
Discussion Closed This discussion was created more than 6 months ago and has been closed. To start a new discussion with a link back to this one, click here.
Unphysical solution with ellipsoid/sphere vs. hemisphere
Posted 2013/02/05 0:17 GMT-5 Mesh, Studies & Solvers Version 4.0a 3 Replies
Please login with a confirmed email address before reporting spam
Having a problem with COMSOL providing unphysical solutions when I use a sphere or ellipsoid "hovering" above the bottom of a domain as opposed to a hemisphere.
I have a box, and within the box is a source (flux boundary condition) and a sink (zero concentration boundary condition). The model provides realistic and physical solutions to concentration in the box and the total flux across the source and sink when they are modeled as hemispheres out of the bottom of the box. However, if I create spheres or ellipsoids which are protruding partially out of the bottom of the box (so that the angle between the sphere/ellipsoid and bottom is acute) the solution is no longer physical. The system equilibriates with the total flux of the sink far below that of the source, which is not possible. Bringing the sphere/ellipsoid up off the bottom completely, improves the error, but does not eliminate it. Also, ellipsoids are consistently worse than spheres. Depending on whether I make the source or sink an ellipsoid the flux either way undershoots or way overshoots and only appears accurately when I use the hemispheres. I don't even understand how the model can reach equilibrium (with constant concentration at a medium distance point) with uneven fluxes.
I know this sounds really general but I am getting very consistent errors, by trying these variations out, all other things being the same. I would like some suggestions on how to improve the accuracy here and eliminate this problem as ideally I would like to model an ellipsoid source with acute angle to box, and spherical sink.
Thank-you for your time.
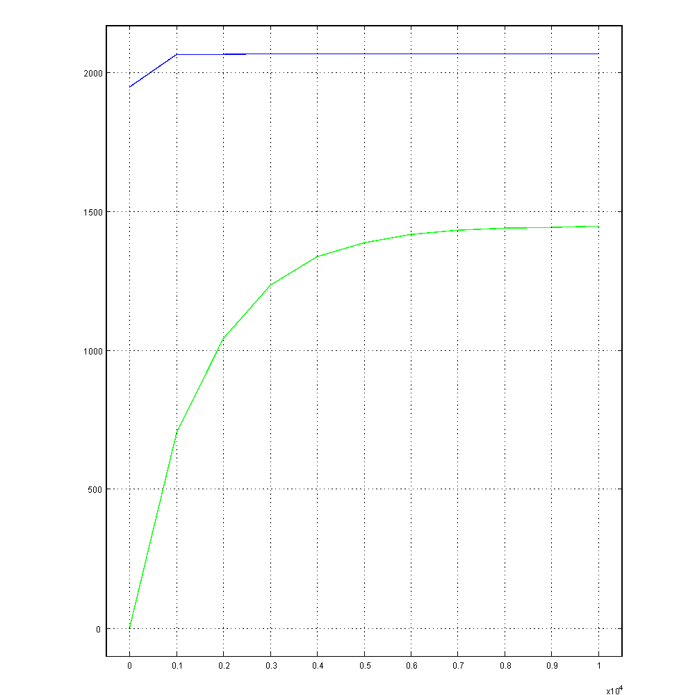
I have attached two png files of not so bad solutions comparing hemispheres (good converging fluxes) and spheres just above the surface (moderately bad solution). It gets much much worse with acute angles and ellipsoids.
EDIT: Added an ellipsoid solution.. you can see the fluxes stabilize at wildly different values, yet the concentration in the box stabilizes.. this is obviously not physically possible with more molecules coming in than going out.
EDIT2: Realized that I was using total flux magnitude instead of normal total flux.. I am not clear on what exactly total flux magnitude is then. The results are 'more' realistic now but the fluxes still do not sum to zero
I have a box, and within the box is a source (flux boundary condition) and a sink (zero concentration boundary condition). The model provides realistic and physical solutions to concentration in the box and the total flux across the source and sink when they are modeled as hemispheres out of the bottom of the box. However, if I create spheres or ellipsoids which are protruding partially out of the bottom of the box (so that the angle between the sphere/ellipsoid and bottom is acute) the solution is no longer physical. The system equilibriates with the total flux of the sink far below that of the source, which is not possible. Bringing the sphere/ellipsoid up off the bottom completely, improves the error, but does not eliminate it. Also, ellipsoids are consistently worse than spheres. Depending on whether I make the source or sink an ellipsoid the flux either way undershoots or way overshoots and only appears accurately when I use the hemispheres. I don't even understand how the model can reach equilibrium (with constant concentration at a medium distance point) with uneven fluxes.
I know this sounds really general but I am getting very consistent errors, by trying these variations out, all other things being the same. I would like some suggestions on how to improve the accuracy here and eliminate this problem as ideally I would like to model an ellipsoid source with acute angle to box, and spherical sink.
Thank-you for your time.
I have attached two png files of not so bad solutions comparing hemispheres (good converging fluxes) and spheres just above the surface (moderately bad solution). It gets much much worse with acute angles and ellipsoids.
EDIT: Added an ellipsoid solution.. you can see the fluxes stabilize at wildly different values, yet the concentration in the box stabilizes.. this is obviously not physically possible with more molecules coming in than going out.
EDIT2: Realized that I was using total flux magnitude instead of normal total flux.. I am not clear on what exactly total flux magnitude is then. The results are 'more' realistic now but the fluxes still do not sum to zero
Attachments:
3 Replies Last Post 2013/02/06 23:00 GMT-5
