Discussion Closed This discussion was created more than 6 months ago and has been closed. To start a new discussion with a link back to this one, click here.
Pressure boundary conditions
Posted 2013/02/15 3:02 GMT-5 Structural Mechanics 8 Replies
Please login with a confirmed email address before reporting spam
I am working on a coupled problem involving a piezoelectric and fluid.....I need to apply the pressure from the piezoelectric after each iteration step and apply it as a pressure boundary condition on the fluid.
Can anyone give me some ways to solve this problem.
Regards.
Rahul Kishor
Please login with a confirmed email address before reporting spam
but how do you consider the coupling of your model, as the PZT expansion must be changed due to the presence of the fluid, so it's a "FSI" with "PZT" you have, no ?
Normally the PZT when bending should deform the mesh of the fluid and you can couple this way, no ?
--
Good luck
Ivar
Please login with a confirmed email address before reporting spam
Thanks for your response...Yes as you said, I have to consider an FSI model as the piezo would be affected by the fluid....But in the beginning I was interested in the fluid modelling, so thought of simplifying the problem first by neglecting effect on piezo by the fluid.....Instead just see the effects on the fluid....
But even here, I couldnt figure out the way to apply the piezoelectric vibration at each time step of the iteration as a fluid wall boundary condition........
Could you please help me with this.....
Thanks & Regards,
Rahul Kishor
Please login with a confirmed email address before reporting spam
Well one issue is that a fluid is incompressible, so of your fluid is in a closed volume, and you compress one side you have a strong interaction. Or your fluid is "infinite" clearly then its mainly the added mass that will interact on the PZT (in dynamic moe) provided you do not get any cavitation additionally you have the viscouity that damps the motion.
So for me the fluid to structure interaction is, first of all an opposing pressure + an added mass for the dynamics (and viscosity), and the moving solid to fluid interaction is a dispalcement over time, hence a velocity transfer.
This is FSI + PZD, while FSI is ALE + EC + solid, whle PZD is EC + pzd add on + solid, so you have here twice solid and EC, if you combine both complex physics (check the dependent variables for each physics).
So I would say you need to use FSI and then extract the PZT specific part of PZD to add to FSI
remains to check (I' mnot by my WS) if FSI can be solved (=is set up for) for harmonic (probably) or time domain (cannot remember just now), in case you need more feedeling
It's not a trivial case, perhaps an EMI + SPF could do ...
--
Good luck
Ivar
Please login with a confirmed email address before reporting spam
Right now my work is on an open channel- ie the droplet is placed on the surface of the PZD...So i think as you said, can it be considered as -"only the added mass on PZT" ?
Now if i come to the FSI- Could you please explain why do you need both the PZD and the solid in my case, it is not very clear for me...
Could you also recommend some example projects in COMSOL which does something like-"use FSI and then extract the PZT specific part of PZD to add to FSI "...........
Thanks,
Rahul Kishor
Please login with a confirmed email address before reporting spam
PZD is solid+EC+piezo material definition (the latter is quite equation writing extensive, easier to use pre-cooked by COMSOL than to rebuild everything by hand from Solid and EC as 2 separate physics) but then you cannot also add FSI as this one solves also for u_solid, that is doubling up. Now FSI is ALE + solid + SPF, so you could use ALE + SPF + PZD. Remains the question do you need SPF (at least to start with ?) if you have only a droplet, you could consider modelling the liquid as a linear material with solid, put Poisson nu =0.49 or 0.495, E to 1/3 bulk modulus (if I'm not wrong, pls check) but then to avoid it flows away you might need to add some surface tension to keep the "pseudo liquid" as a droplet with a common surface to the PZD part. This will simplify and not consider the liquid viscosity but could be a good starting point. I believe its worth some testing, but perhaps someone else have some good ideas.
One thing, when we deal with such "small scale" models, one must not forget that our usual understanding of physics need some "corrections" as the volume to surface ratio is very different from macro scale objects, and the influence of the various natural forces are very different from what we are used to
--
Good luck
Ivar
Please login with a confirmed email address before reporting spam
But for the droplet, I am interested finally in simulating the acoustic streaming effect which is a result of the nonlinearity of navier stokes equation in combination with the viscosity....So will modelling the droplet with liquid as a linear material with solid be helpful?
Regards,
Rahul Kishor
Please login with a confirmed email address before reporting spam
OK if that is your goal, then I believe you need the full fluid behaviour hence some way SPF (but probably too surface tension). But you should start simpler, get the model running then add next level etc Else you will have trouble debugging and validating your model
--
Good luck
Ivar
Please login with a confirmed email address before reporting spam
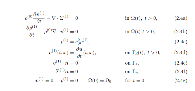
I had obtained from references the governing equations for the acoustic streaming phenomenon.....The attached "Modelling" file shows the governing equations for the problem.......But since the problem involves -acoustic and acoustic streaming effects which has different time scales....The problem was split into two- acoustic subproblem and acoustic streaming subproblem......Which involves solving first and second order equations respectively...
Now for the solution of the first order equations which gives the damped propagation of the acoustic wave. I need to solve the equations as given in "First order equations" file......
In the Fluid model in COMSOL, the continuity equations (2 terms) in COMSOL assumes the same value of density variable in both the terms but according to my problem (as seen in First order equations file). It takes one term as the steady density term and the other as first order which is different........Now would this meant that, for my problem the COMSOL Fluid model cannot be used, or is there some work around for this?
Thanks,
Rahul Kishor
Attachments:
Note that while COMSOL employees may participate in the discussion forum, COMSOL® software users who are on-subscription should submit their questions via the Support Center for a more comprehensive response from the Technical Support team.
Suggested Content
- BLOG Analyzing a Unique Poroelastic Metamaterial with Simulation
- KNOWLEDGE BASE Error: Failed to Find a Solution. Returned Solution is Not Converged
- FORUM Imposing pressure and velocity continue boundary conditions
- FORUM Pressure boundary conditions
- FORUM boundary conditions, pressure losses due to friction
