Note: This discussion is about an older version of the COMSOL Multiphysics® software. The information provided may be out of date.
Discussion Closed This discussion was created more than 6 months ago and has been closed. To start a new discussion with a link back to this one, click here.
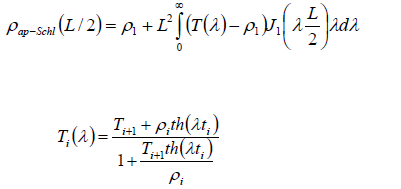
subsurface apparent resistivity
Posted 2013/03/25 16:04 GMT-4 Low-Frequency Electromagnetics, Studies & Solvers Version 4.3a 0 Replies
Please login with a confirmed email address before reporting spam
hello,
how can I put in comsol the analytical expression of the apparent resistivity with a shlumberger device
thanks
Attachments:
Hello Makhchan Abderrahim
Your Discussion has gone 30 days without a reply. If you still need help with COMSOL and have an on-subscription license, please visit our Support Center for help.
If you do not hold an on-subscription license, you may find an answer in another Discussion or in the Knowledge Base.

