Note: This discussion is about an older version of the COMSOL Multiphysics® software. The information provided may be out of date.
Discussion Closed This discussion was created more than 6 months ago and has been closed. To start a new discussion with a link back to this one, click here.
How to calculate photonic band gap, transmission and reflection spectra?
Posted 2013/04/10 17:54 GMT-4 RF & Microwave Engineering, Acoustics & Vibrations Version 4.3b 16 Replies
Please login with a confirmed email address before reporting spam
Could you help me how can I obtain band gap and Transmission/Reflection spectra of 1D or 2D photonic crystal? Or could you send me instruction about how can I get this?
Thank you for your help
Please login with a confirmed email address before reporting spam
Please login with a confirmed email address before reporting spam
We want to get photonic band gap, transmission and reflection spectra of 1D or 2D PC.
Could you help me how can I obtain band gap and Transmission/Reflection spectra of 1D or 2D photonic crystal? Or could you send me instruction about how can I get this?
Thank you for your help
Hi,
To me it doesn't make sense to speak of Transmission / Reflection and band gaps in the same model. The very basis for a bandgap calculation requires the crystal to be infinite, where when you speak of T/R this obviously involves boundaries.
The bandgap calculation requires only modeling a single primitive cell of the crystal, the T/R will requires many unit cells depending on the experimental setup you envision. For example, you might need to determine for your specific case, in T/R, how many unit cells is needed to approximate bulk properties.
To perform a bandgap simulation in COMSOL is very easy. Just model a unit cell and apply Floquet periodic boundary conditions in Eigenfrequency mode, select source and destinations boundaries and specify your x and y components of the propagating wave vector. Run the model for a selected number of eigenfrequencies. viola.
~Chris
Please login with a confirmed email address before reporting spam
To perform a bandgap simulation in COMSOL is very easy. Just model a unit cell and apply Floquet periodic boundary conditions in Eigenfrequency mode, select source and destinations boundaries and specify your x and y components of the propagating wave vector. Run the model for a selected number of eigenfrequencies. viola.
~Chris
Based on the above tips and the comsol library model "plamonic wire grating" i have tried to make a simple model of a square lattice of silica rods in air and solve for the eigenfrequencies at the gamma point of symmetry, but i am getting errors and i am not sure where i made a mistake.
I am not sure if i have to select all four boundaries as the Floquet-boundaries (i guess i should, since the structure is periodic in both x and y directions?) If i do this, i get the error
"Unknown function or operator.
- Name: mod1.emw.dst2src_pc1"
but if i only choose the left and right boundaries (top and bottom are periodic source- and destination ports) i get the error
"Undefined value found.
- Detail: Undefined value found in the stiffness matrix.
There are 1 equations giving NaN/Inf in the matrix rows for the variable mod1.emw.S1x.
at coordinates: (0,0), ...
There are 1 equations giving NaN/Inf in the matrix rows for the variable mod1.emw.S2x.
at coordinates: (0,0), ...
and similarly for the degrees of freedom, NaN/Inf in the matrix columns."
Any idea what i have done wrong? Every small hint is greatly appreciated :)
- Jens
Attachments:
Please login with a confirmed email address before reporting spam
To perform a bandgap simulation in COMSOL is very easy. Just model a unit cell and apply Floquet periodic boundary conditions in Eigenfrequency mode, select source and destinations boundaries and specify your x and y components of the propagating wave vector. Run the model for a selected number of eigenfrequencies. viola.
~Chris
Based on the above tips and the comsol library model "plamonic wire grating" i have tried to make a simple model of a square lattice of silica rods in air and solve for the eigenfrequencies at the gamma point of symmetry, but i am getting errors and i am not sure where i made a mistake.
I am not sure if i have to select all four boundaries as the Floquet-boundaries (i guess i should, since the structure is periodic in both x and y directions?) If i do this, i get the error
"Unknown function or operator.
- Name: mod1.emw.dst2src_pc1"
but if i only choose the left and right boundaries (top and bottom are periodic source- and destination ports) i get the error
"Undefined value found.
- Detail: Undefined value found in the stiffness matrix.
There are 1 equations giving NaN/Inf in the matrix rows for the variable mod1.emw.S1x.
at coordinates: (0,0), ...
There are 1 equations giving NaN/Inf in the matrix rows for the variable mod1.emw.S2x.
at coordinates: (0,0), ...
and similarly for the degrees of freedom, NaN/Inf in the matrix columns."
Any idea what i have done wrong? Every small hint is greatly appreciated :)
- Jens
Unfortunately I don't have the RF kit, I work with phononic systems so I can't open your model. But for a simple square unit cell, I usually have two instances of periodic conditions, one for the left-right boundaries and one for the top-bottom boundaries. Each instance of the periodic conditions will have 2 boundaries selected. For something as simple as a square you do not need to specify the destination boundaries, COMSOL will do it (although you can if you want). I assume you have defined parameters for propagation 'theta', 'k=m*pi/a', 'kx = k*cos(theta)', and 'ky = k*sin(theta)', where 'm' is very small for Gamma point and 1 for BZ boundary. Put 'kx' and 'ky' in the box for Floquet conditions. Assuming that is what you did, I don't know why you would get an error.
~Chris
Please login with a confirmed email address before reporting spam
Unfortunately I don't have the RF kit, I work with phononic systems so I can't open your model. But for a simple square unit cell, I usually have two instances of periodic conditions, one for the left-right boundaries and one for the top-bottom boundaries. Each instance of the periodic conditions will have 2 boundaries selected. For something as simple as a square you do not need to specify the destination boundaries, COMSOL will do it (although you can if you want). I assume you have defined parameters for propagation 'theta', 'k=m*pi/a', 'kx = k*cos(theta)', and 'ky = k*sin(theta)', where 'm' is very small for Gamma point and 1 for BZ boundary. Put 'kx' and 'ky' in the box for Floquet conditions. Assuming that is what you did, I don't know why you would get an error.
~Chris
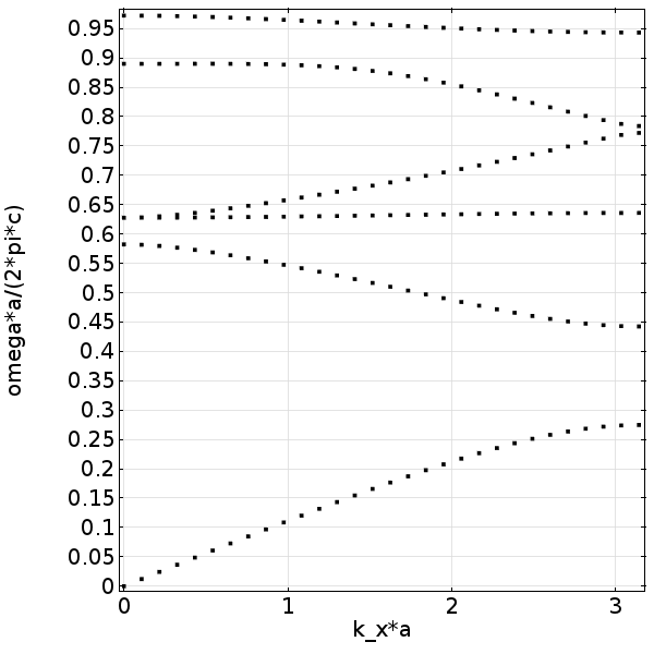
Thanks for your reply Chris,
I already figured it out with the double Floquet BC's which indeed allows me to solve for the eigenfrequencies - but only if i leave out the ports alltogether.
Anyways, i am trying to reproduce the results in the attached band diagram (using the same parameters). If i have ky = 0 and sweep kx from 0 to pi/a, this should correspond to the Gamma -> Chi segment in the diagram. As i compare my results with the reference they match pretty well, but it seems like i only get the TM solutions out. What if i want the TE solutions as well? I don't understand why the periodic BC's would restrict the polarization.
- Jens.
Attachments:
Please login with a confirmed email address before reporting spam
Thanks for your reply Chris,
I already figured it out with the double Floquet BC's which indeed allows me to solve for the eigenfrequencies - but only if i leave out the ports alltogether.
Anyways, i am trying to reproduce the results in the attached band diagram (using the same parameters). If i have ky = 0 and sweep kx from 0 to pi/a, this should correspond to the Gamma -> Chi segment in the diagram. As i compare my results with the reference they match pretty well, but it seems like i only get the TM solutions out. What if i want the TE solutions as well? I don't understand why the periodic BC's would restrict the polarization.
- Jens.
Ahh - i had chosen to solve for the out-of-plane component only, choosing the in-plane component obviously resulted in the TE-bands :)
Seems like everything is working then. Thanks a bunch for the inputs :)
- Jens
Please login with a confirmed email address before reporting spam
Do we have to mention the source and detector? I got the eigenfrequencies but it doesn't match with band diagram Jens had given last post. What could be the problem? I didn't define any theta, just define kx=m*pi/a and ky=0 to get from CHI-GAMMA!!
Thanks,
Radwan
Please login with a confirmed email address before reporting spam
Please login with a confirmed email address before reporting spam
This is Jingjing, and I am exactly wanting to reproduce the band structure in your attachment. I have got some trouble in how to seperately plot TE and TM band structure. Also how did you build up the model in periodic condition? Also if it is possible, could you send me your comsol file of this? Thank you so much! Here is my file, and I plot a band structure that looks very different from it should be.
Thank you very much!
Jingjing
Attachments:
Please login with a confirmed email address before reporting spam
Hi, Jens,
This is Jingjing, and I am exactly wanting to reproduce the band structure in your attachment. I have got some trouble in how to seperately plot TE and TM band structure. Also how did you build up the model in periodic condition? Also if it is possible, could you send me your comsol file of this? Thank you so much! Here is my file, and I plot a band structure that looks very different from it should be.
Thank you very much!
Jingjing
Hello,This is Yuanyuan,I have downloaded your mph file,and you create it with a higher version than me.Could you tell me what is the version of your Comsol? And are you from China?What is your university?Thank you!
Please login with a confirmed email address before reporting spam
Unfortunately I don't have the RF kit, I work with phononic systems so I can't open your model. But for a simple square unit cell, I usually have two instances of periodic conditions, one for the left-right boundaries and one for the top-bottom boundaries. Each instance of the periodic conditions will have 2 boundaries selected. For something as simple as a square you do not need to specify the destination boundaries, COMSOL will do it (although you can if you want). I assume you have defined parameters for propagation 'theta', 'k=m*pi/a', 'kx = k*cos(theta)', and 'ky = k*sin(theta)', where 'm' is very small for Gamma point and 1 for BZ boundary. Put 'kx' and 'ky' in the box for Floquet conditions. Assuming that is what you did, I don't know why you would get an error.
~Chris
Thanks for your reply Chris,
I already figured it out with the double Floquet BC's which indeed allows me to solve for the eigenfrequencies - but only if i leave out the ports alltogether.
Anyways, i am trying to reproduce the results in the attached band diagram (using the same parameters). If i have ky = 0 and sweep kx from 0 to pi/a, this should correspond to the Gamma -> Chi segment in the diagram. As i compare my results with the reference they match pretty well, but it seems like i only get the TM solutions out. What if i want the TE solutions as well? I don't understand why the periodic BC's would restrict the polarization.
- Jens.
Please login with a confirmed email address before reporting spam
Unfortunately I don't have the RF kit, I work with phononic systems so I can't open your model. But for a simple square unit cell, I usually have two instances of periodic conditions, one for the left-right boundaries and one for the top-bottom boundaries. Each instance of the periodic conditions will have 2 boundaries selected. For something as simple as a square you do not need to specify the destination boundaries, COMSOL will do it (although you can if you want). I assume you have defined parameters for propagation 'theta', 'k=m*pi/a', 'kx = k*cos(theta)', and 'ky = k*sin(theta)', where 'm' is very small for Gamma point and 1 for BZ boundary. Put 'kx' and 'ky' in the box for Floquet conditions. Assuming that is what you did, I don't know why you would get an error.
~Chris
Thanks for your reply Chris,
I already figured it out with the double Floquet BC's which indeed allows me to solve for the eigenfrequencies - but only if i leave out the ports alltogether.
Anyways, i am trying to reproduce the results in the attached band diagram (using the same parameters). If i have ky = 0 and sweep kx from 0 to pi/a, this should correspond to the Gamma -> Chi segment in the diagram. As i compare my results with the reference they match pretty well, but it seems like i only get the TM solutions out. What if i want the TE solutions as well? I don't understand why the periodic BC's would restrict the polarization.
- Jens.
Hello,this is Yuanyuan Wang,i am studying Photonic Crystics for the first time. I have some difficulties during study.I want to look for help to you.I hope you can reply to me. First,where the Bandgap is ploted(in Comsol or in Matlab)??? Because i have some information about in Matlab. Second,how to solve for the eigenfrequencies in double Floquet BC's????Thank you very much!!
Please login with a confirmed email address before reporting spam
Please login with a confirmed email address before reporting spam
i am using comsol for calculating the transmission of a 2D phononic crystal but still now i cant , i have already calculate the band structure ... if you could help me in the transmission curve ??
Please login with a confirmed email address before reporting spam
Regarding modeling of photonic band gap structures, you can either model a single unit cell, or you can model a structure composed of a photonic band gap structure with additional features.
For an example of modeling of a single unit cell, please see:
www.comsol.com/model/bandgap-analysis-of-a-photonic-crystal-798
For an example of waveguiding structure within a photonic crystal material, please see:
www.comsol.com/model/photonic-crystal-14703
You may also be interested in the phononic (acoustic) analog, in which case please see:
www.comsol.com/blogs/modeling-phononic-band-gap-materials-and-structures/
And lastly, you may want to look to what other users have done, for inspiration and guidance:
www.comsol.com/search/?s=photonic+band+gap&subset=papers_presentations
Please login with a confirmed email address before reporting spam
I am trying to find band diagram of a photonic crystal.My unit cell has periodic boundary condtion in x an dy direction .But z direction is open and also kz=0( no propagation).wave is only propagating in x and y direction.
PML and sacttering boundary condition has been used in top and bottom(open boundary).But the problem is the wave is reflecting back to the computational doamin.I have tried to increase the thickness and abosorption coefficient(scaling factor).But no improvement has been found.
I have also varied the distance of PML layer from the substrate and the thickness of the substrate from lambda to 10*lambda(to check when the eigen frequency become independent those variation).But no feasible conclusion could be made.
Could you please check the model or suggest me on boundary condiiton.
Note that while COMSOL employees may participate in the discussion forum, COMSOL® software users who are on-subscription should submit their questions via the Support Center for a more comprehensive response from the Technical Support team.
