Please login with a confirmed email address before reporting spam
Posted:
1 decade ago
2014/08/12 8:41 GMT-4
Hi.
Of course, first you need to declare (have in mind, of course, and ---please--- tell us) the dependent variable: is it

? If it's just

, the way of implementation is very simple (if it's

you can expand the cross product and you should use several equations, one for each component).
Please, tell us what the dependent variable is and we will be able to help you better.
Regards,
Jesus.
Hi.
Of course, first you need to declare (have in mind, of course, and ---please--- tell us) the dependent variable: is it [math] \phi, \vec j, \vec B [/math]? If it's just [math] \phi [/math], the way of implementation is very simple (if it's [math] \vec B [/math] you can expand the cross product and you should use several equations, one for each component).
Please, tell us what the dependent variable is and we will be able to help you better.
Regards,
Jesus.
Please login with a confirmed email address before reporting spam
Posted:
1 decade ago
2014/08/12 9:01 GMT-4
Hi,Jesus
Thank you very very much for you kind help.
Actually, the dependant variable is J. And in my 2D model, the magnetic field is normal to the plane,You tell me that maybe I can just expand the cross product. I have been wondering whether there is a simple symbol to define cross product. Thank you very much!
But another problem arises that how to define the x ,y component of J (the current distributed on the plane)
Thank very very much!!!
Hi,Jesus
Thank you very very much for you kind help.
Actually, the dependant variable is J. And in my 2D model, the magnetic field is normal to the plane,You tell me that maybe I can just expand the cross product. I have been wondering whether there is a simple symbol to define cross product. Thank you very much!
But another problem arises that how to define the x ,y component of J (the current distributed on the plane)
Thank very very much!!!
Please login with a confirmed email address before reporting spam
Posted:
1 decade ago
2014/08/12 10:09 GMT-4
Hi.
So if I understand well,

only has x and y components, and

only has z component (say

), then you get these 2 equations:

If

is really not a dependent variable, you must know it in advance (for instance, as a function of x and y), and you can include its spatial derivatives just as phix or phiy.
Finally you say: "But another problem arises that how to define the x ,y component of J": if they are dependent variables, you don't know them a priori, you want to solve them: you only need boundary conditions for them.
So if in your equation you had some derivative in

, you could use a pair of PDE's. But as

appears with no derivative, I think it's easier to isolate each component and define them simply as expressions.
Jesus.
Hi.
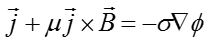
So if I understand well, [math] \vec J [/math] only has x and y components, and [math] \vec B [/math] only has z component (say [math] B [/math]), then you get these 2 equations:
[math] J_x + \mu J_y B = -\sigma \frac{\partial \phi}{\partial x} [/math]
[math] J_y - \mu J_x B = -\sigma \frac{\partial \phi}{\partial y} [/math]
If [math]\phi[/math] is really not a dependent variable, you must know it in advance (for instance, as a function of x and y), and you can include its spatial derivatives just as phix or phiy.
Finally you say: "But another problem arises that how to define the x ,y component of J": if they are dependent variables, you don't know them a priori, you want to solve them: you only need boundary conditions for them.
So if in your equation you had some derivative in [math]J[/math], you could use a pair of PDE's. But as [math]J[/math] appears with no derivative, I think it's easier to isolate each component and define them simply as expressions.
Jesus.
Please login with a confirmed email address before reporting spam
Posted:
1 decade ago
2014/08/12 20:29 GMT-4
Hi.
Yes,you got what I meant.The equation is just like that.
You say:"But as appears with no derivative, I think it's easier to isolate each component and define them simply as expressions." You mean like this:

(When expanding the cross product ,

is the y component of

and I think B is simply a number,not a vector)
Another problem:In my 2D PDE model,there are two circle disk adhere to each other(I attached a picture of the model).And small and big disk are made of different materials. If I want to define the contanct resistance on the contact area,which boundary condition should I use in the PDE module? Thank you very much!
Best regards.
Fuwei
Hi.
Yes,you got what I meant.The equation is just like that.
You say:"But as appears with no derivative, I think it's easier to isolate each component and define them simply as expressions." You mean like this: [math]\vec J+\mu[(\vec J*\vec n_y)*B*\vec n_x-(\vec J*\vec n_x)*B*\vec n_y]=-\sigma*\nabla \phi[/math]
(When expanding the cross product ,[math] \vec J*\vec n_y[/math] is the y component of [math]\vec J [/math] and I think B is simply a number,not a vector)
Another problem:In my 2D PDE model,there are two circle disk adhere to each other(I attached a picture of the model).And small and big disk are made of different materials. If I want to define the contanct resistance on the contact area,which boundary condition should I use in the PDE module? Thank you very much!
Best regards.
Fuwei
Please login with a confirmed email address before reporting spam
Posted:
1 decade ago
2014/08/13 11:52 GMT-4
Yes.
If you isolate the components of

, you get:

,
and a similar expression for

.
About the other question (contact resistance), I don't have clear if you refer to the contact between both discs, in the z direction (in which case your problem would have 2 fields of dependent variables, one for each disc) or you refer to the contact between the central disc and the surrounding circular band: in this case you can model the contact resistance in this way:
1. Use a different PDE mode for each domain (let's assume you have named the dependent variables J1x and J1y in one domain and J2x and J2y in the other).
2. Think on which variable must have continuity (in the contact line) and which one must not: I suppose both

and

must be continuous and

can have a discontinuity. Let's assume that.
3. Set a boundary condition (BC) of continuity in one side (for instance at domain 1, Dirichlet BC: J1x = J2x and J1y = J2y).
4. Set a non-continuity BC at the other side, related to the contact resistance (at domain 2:

, or a similar relation, where

is some scalar resistance in the contact line and

is the unit vector normal to the contact line and pointing outwards from domain 2).
I hope this can help.
Yes.
If you isolate the components of [math] \vec J [/math], you get:
[math] J_y = -\frac{\sigma \left(\frac{\partial \phi}{\partial y} + \mu B\frac{\partial \phi}{\partial x} \right)} {1 + \mu^2 B^2} [/math],
and a similar expression for [math] J_x [/math].
About the other question (contact resistance), I don't have clear if you refer to the contact between both discs, in the z direction (in which case your problem would have 2 fields of dependent variables, one for each disc) or you refer to the contact between the central disc and the surrounding circular band: in this case you can model the contact resistance in this way:
1. Use a different PDE mode for each domain (let's assume you have named the dependent variables J1x and J1y in one domain and J2x and J2y in the other).
2. Think on which variable must have continuity (in the contact line) and which one must not: I suppose both [math]J_x[/math] and [math]J_y[/math] must be continuous and [math]\phi[/math] can have a discontinuity. Let's assume that.
3. Set a boundary condition (BC) of continuity in one side (for instance at domain 1, Dirichlet BC: J1x = J2x and J1y = J2y).
4. Set a non-continuity BC at the other side, related to the contact resistance (at domain 2:
[math] \phi_2 = \phi_1 + (\vec J_2 \cdot \vec n_2) R[/math], or a similar relation, where [math]R[/math] is some scalar resistance in the contact line and [math]\vec n_2[/math] is the unit vector normal to the contact line and pointing outwards from domain 2).
I hope this can help.
Please login with a confirmed email address before reporting spam
Posted:
1 decade ago
2014/08/13 21:37 GMT-4
Hi,Mr Lucio
Thank you very much! You advice really helps me a lot!
Here is more about the contact resistance. I am really sorry I always decribe the problem ambiguously! I'm a new comer for COMSOL!
Actually,the contance resistance is the situation one as you understand! I attach two picture of the device, one of the cross-section and top-down views of the device. The other one is where the contact resistance lies. I simplified the 3D model into 2D model,which has bee proven to be right in several published papers.The two discs adhere to each other and the contact resistance lies on the contact surface. So the contact area is equal to the surface of the central disk.
I can't understand what you meant by "in which case your problem would have 2 fields of dependent variables, one for each disc".Can I solve the problem just as you describe above?
Thank you again!
Fuwei
Hi,Mr Lucio
Thank you very much! You advice really helps me a lot!
Here is more about the contact resistance. I am really sorry I always decribe the problem ambiguously! I'm a new comer for COMSOL!
Actually,the contance resistance is the situation one as you understand! I attach two picture of the device, one of the cross-section and top-down views of the device. The other one is where the contact resistance lies. I simplified the 3D model into 2D model,which has bee proven to be right in several published papers.The two discs adhere to each other and the contact resistance lies on the contact surface. So the contact area is equal to the surface of the central disk.
I can't understand what you meant by "in which case your problem would have 2 fields of dependent variables, one for each disc".Can I solve the problem just as you describe above?
Thank you again!
Fuwei
Please login with a confirmed email address before reporting spam
Posted:
1 decade ago
2014/08/14 5:09 GMT-4
OK,
So it's the first option I told you about. And your problem hardly is 2D (well, it can be 2D axial-symmetry). If xy is the plane parallel to the discs, then surely you'll have a z component in J, and you talked only of x and y components. Things change.
Only if the main current density is parallel to the discs you can still use the 2D (xy-plane) model (in which case you still could use one PDE for each disc, and couple them through the continuity-contact resistance in the region of the small disc). So you have to think if you can neglect the z component of J, what I bid you cannot do. If you cannot neglect that component, perhaps the problem has axial symmetry (in the z axis, of course).
Jesus.
OK,
So it's the first option I told you about. And your problem hardly is 2D (well, it can be 2D axial-symmetry). If xy is the plane parallel to the discs, then surely you'll have a z component in J, and you talked only of x and y components. Things change.
Only if the main current density is parallel to the discs you can still use the 2D (xy-plane) model (in which case you still could use one PDE for each disc, and couple them through the continuity-contact resistance in the region of the small disc). So you have to think if you can neglect the z component of J, what I bid you cannot do. If you cannot neglect that component, perhaps the problem has axial symmetry (in the z axis, of course).
Jesus.
Please login with a confirmed email address before reporting spam
Posted:
1 decade ago
2014/08/14 20:11 GMT-4
Hi,Jesus,
Thank you for your kind help! I will consider seriouly and maybe I can simplified the model into case two as you told me ! I will have a try and give some feedback to you !
Thank you again!
Fuwei
Hi,Jesus,
Thank you for your kind help! I will consider seriouly and maybe I can simplified the model into case two as you told me ! I will have a try and give some feedback to you !
Thank you again!
Fuwei
Please login with a confirmed email address before reporting spam
Posted:
1 decade ago
2014/08/18 20:51 GMT-4
Hi,Jesus
Thank you very much.
Hi,Jesus
Thank you very much.