Discussion Closed This discussion was created more than 6 months ago and has been closed. To start a new discussion with a link back to this one, click here.

Butler-Volmer kinetics

Please login with a confirmed email address before reporting spam

As an electrochemist I cannot understand the formulation of the equation of the electrode reaction kinetics (attached). Why is there (n - eta) in the first exponent, instead of 1- eta? The formulation does return Nernst looking equation at zero current, but it neither agrees with the documentation of Comsol. Is this simply a cosmetic bug, or how is Comsol calculating reaction kinetics?

Note also that zero overpotential does not mean the C_Ox = C_red, as Comsol appears to define, but that the ratio (C_Ox/C_red) defines the value of the equilibrium potential.

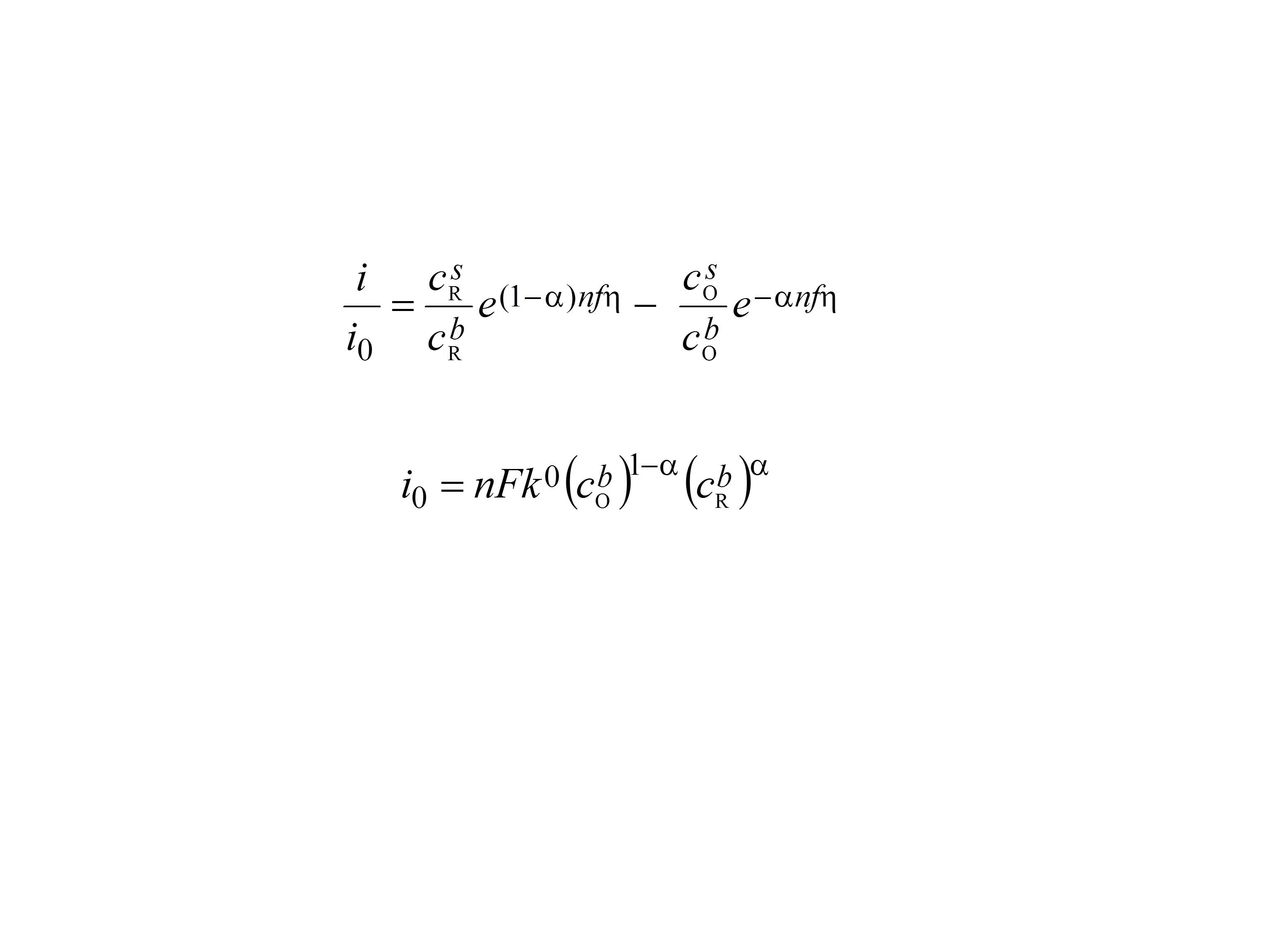
The current-overpotential and the exchange current density equations are usually written in textbooks as in the other attachment. The formula that Comsol uses thus is a mixture of Butler-Volmer and current-overpotential equations. Literature is admittedly a bit confusing in these issues.; I follow the treatment of Bard & Faulkner.


3 Replies Last Post 2014/11/12 8:50 GMT-5
Edmund Dickinson COMSOL Employee

Please login with a confirmed email address before reporting spam

Posted: 1 decade ago 2014/11/12 4:36 GMT-5
COMSOL follows the definition, common in the modern literature, that the transfer coefficient alpha takes values between 0 and n rather than between 0 and 1. So in place of n*(1-alpha) one writes (n-alpha). This has the benefit that the transfer coefficient alpha can be interpreted physically as a "number of electrons". You may be interested in the discussion of the relative virtues of the two definitions in Pure Appl. Chem. 2014, 86, 245-258.

The expression quoted in the documentation is specifically the one-electron equation.

The condition of zero current implies a condition of (dynamic) equilibrium. Substitution of i_loc = 0 into the Butler-Volmer equation as quoted yields the Nernst equation, which for a unimolecular reaction of dilute species states in turn that at zero overpotential, cOx = cRed.





COMSOL follows the definition, common in the modern literature, that the transfer coefficient alpha takes values between 0 and n rather than between 0 and 1. So in place of n*(1-alpha) one writes (n-alpha). This has the benefit that the transfer coefficient alpha can be interpreted physically as a "number of electrons". You may be interested in the discussion of the relative virtues of the two definitions in Pure Appl. Chem. 2014, 86, 245-258. The expression quoted in the documentation is specifically the one-electron equation. The condition of zero current implies a condition of (dynamic) equilibrium. Substitution of i_loc = 0 into the Butler-Volmer equation as quoted yields the Nernst equation, which for a unimolecular reaction of dilute species states in turn that at zero overpotential, cOx = cRed.

Please login with a confirmed email address before reporting spam

Posted: 1 decade ago 2014/11/12 5:18 GMT-5
Thanks for a prompt reply. I'll check that paper you referred to, and perhaps comment later on.

I have to disagree with the claim that zero overpotential means C_ox = C_red. Let us say that in the solution we have [Fe(II)] = 0.1 M and [Fe(III)] = 0.5 M. Then clearly at equilibrium, i = 0, the concentrations are not equal, and

E_eq = E^0 + RT/F*ln(5).

It appears that Comsol is defining overpotential as E - E^0, while it should be defined E - E_eq.

After all, I am not that purist, the main point that I know what I am calculating, and now how Comsol is writing the equations.

Best regards
Lasse
Thanks for a prompt reply. I'll check that paper you referred to, and perhaps comment later on. I have to disagree with the claim that zero overpotential means C_ox = C_red. Let us say that in the solution we have [Fe(II)] = 0.1 M and [Fe(III)] = 0.5 M. Then clearly at equilibrium, i = 0, the concentrations are not equal, and E_eq = E^0 + RT/F*ln(5). It appears that Comsol is defining overpotential as E - E^0, while it should be defined E - E_eq. After all, I am not that purist, the main point that I know what I am calculating, and now how Comsol is writing the equations. Best regards Lasse

Please login with a confirmed email address before reporting spam

Posted: 1 decade ago 2014/11/12 8:50 GMT-5
Hi again

I have now read the paper you referred to, and also checked the new edition of Bard & Faulkner. You probably refer to eq. (16) in the paper:

alpha_c + alpha_a = n

which includes the possibility of a multistep reaction mechanism, whereas I was thinking of a simple electron transfer reaction.

Nevertheless, I was not able to reproduce the equation in the attached file.

BR
Lasse
Hi again I have now read the paper you referred to, and also checked the new edition of Bard & Faulkner. You probably refer to eq. (16) in the paper: alpha_c + alpha_a = n which includes the possibility of a multistep reaction mechanism, whereas I was thinking of a simple electron transfer reaction. Nevertheless, I was not able to reproduce the equation in the attached file. BR Lasse

Note that while COMSOL employees may participate in the discussion forum, COMSOL® software users who are on-subscription should submit their questions via the Support Center for a more comprehensive response from the Technical Support team.