Note: This discussion is about an older version of the COMSOL Multiphysics® software. The information provided may be out of date.
Discussion Closed This discussion was created more than 6 months ago and has been closed. To start a new discussion with a link back to this one, click here.
Strain rate as an argument for an analytic function
Posted 2014/12/09 16:47 GMT-5 Materials, Modeling Tools & Definitions, Parameters, Variables, & Functions Version 4.4 0 Replies
Please login with a confirmed email address before reporting spam
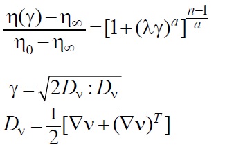
I am trying to use an analytic function to define a material property. The function is Carreau_Yasuda fluid model which is basically the viscosity as fuction of shear rate. My question is how to define the shear rate as a variable for a 3D problem in COMSOL. The equations are attached.
Thank you very much,
Alhasan.
Attachments:
Hello Alhasan Hadi
Your Discussion has gone 30 days without a reply. If you still need help with COMSOL and have an on-subscription license, please visit our Support Center for help.
If you do not hold an on-subscription license, you may find an answer in another Discussion or in the Knowledge Base.

