Note: This discussion is about an older version of the COMSOL Multiphysics® software. The information provided may be out of date.
Discussion Closed This discussion was created more than 6 months ago and has been closed. To start a new discussion with a link back to this one, click here.
Semiconductor Model
Posted 2014/12/15 6:50 GMT-5 Version 4.4 1 Reply
Please login with a confirmed email address before reporting spam
Hi,
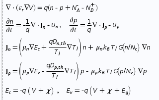
I would like to understand the terms in the equations that I attached.
What is Dn,th and how it is related to Dn?
What is the function G(n/Nc)?
thanks a lot,
Ron
I would like to understand the terms in the equations that I attached.
What is Dn,th and how it is related to Dn?
What is the function G(n/Nc)?
thanks a lot,
Ron
Attachments:
1 Reply Last Post 2014/12/17 8:56 GMT-5
