Note: This discussion is about an older version of the COMSOL Multiphysics® software. The information provided may be out of date.
Discussion Closed This discussion was created more than 6 months ago and has been closed. To start a new discussion with a link back to this one, click here.
mpheval() along Boundaries
Posted 2015/04/30 14:36 GMT-4 Interfacing, Geometry Version 4.4 1 Reply
Please login with a confirmed email address before reporting spam
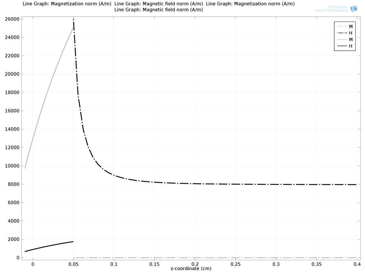
I am using the Magnetic Fields no Current module and am trying to extract the H field along a boundary between material A and material B using mpheval. What I am finding is that Comsol is returning an average H based on the node assuming material A and B.
Is there a way that I can specify that I want the values for material A along that boundary. The only way I have been able to get close to this so far is to use mpheval to return the values for domain A then programmatically in MATLAB identify what elements are long that boundary.
I attached a image that might help visual this issue. The boundary between material A and B occurs at the discontinuity in the plot. The function call I am using is:
data.MagM = mpheval(model, {'mfnc.normM'}, 'edim', 'boundary', 'selection', 17, 'Dataonly', 'on');
Thanks in advance for any help,
Brandon
Is there a way that I can specify that I want the values for material A along that boundary. The only way I have been able to get close to this so far is to use mpheval to return the values for domain A then programmatically in MATLAB identify what elements are long that boundary.
I attached a image that might help visual this issue. The boundary between material A and B occurs at the discontinuity in the plot. The function call I am using is:
data.MagM = mpheval(model, {'mfnc.normM'}, 'edim', 'boundary', 'selection', 17, 'Dataonly', 'on');
Thanks in advance for any help,
Brandon
Attachments:
1 Reply Last Post 2015/05/27 16:24 GMT-4
