アプリケーションギャラリには電気, 構造, 音響, 流体, 熱および化学分野に関連する COMSOL Multiphysics® チュートリアルおよびデモアプリファイルが用意されています. これらの例はチュートリアルモデルまたはデモアプリファイルとそれに付随する手順をダウンロードすることにより独自のシミュレーション作業の開始点として使用できます.
クイック検索機能を使用して専門分野に関連するチュートリアルやアプリを検索します. MPHファイルをダウンロードするには, ログインするか, 有効な COMSOL ライセンスに関連付けられている COMSOL Access アカウントを作成します. ここで取り上げた例の多くは COMSOL Multiphysics® ソフトウェアに組み込まれ ファイルメニューから利用できるアプリケーションライブラリからもアクセスできることに注意してください.
This model demonstrates how to optimize the charging profile of a battery using gradient based optimization. The optimization solver minimizes the time required for charging the battery from 0% to 90% state of charge, while at the same time constraining the amount lithium inventory lost ... 詳細を見る
This asset contains the model file described in the blog post titled "Approaching an Electrochemical Model from Scratch: Lemon Battery". 詳細を見る
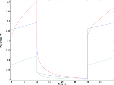
This example computes the power losses in a lithium-ion battery when exposed to high current pulses in a hybrid pulse power characterization (HPPC) test. Power loss contributions stemming from different phenomena are analyzed, as well as the total power losses pertaining to the ... 詳細を見る
Polymerase chain reaction (PCR) is one of the most effective methods in molecular biology, medical diagnostics, and biochemical engineering in amplifying a specific sequence of DNA. There has been a great interest in developing portable PCR-based lab-on-a-chip systems for point-of-care ... 詳細を見る
How the open-circuit voltage (OCV) of a lithium-ion battery varies with the state of charge is governed by various physical properties such as the thermodynamics of the electrode reactions, the relative capacities of the electrode materials, and the amount of cyclable lithium, but also ... 詳細を見る
This model compares the solution to the model equations of a tubular reactor using Danckwerts inlet and outlet conditions. A second almost identical model is defined with extra inlet and outlet sections where no reactions occur. The concentration at the beginning of the inlet section is ... 詳細を見る
Carbon corrosion is one of the important degradation mechanisms in a Polymer Electrolyte Membrane (PEM) fuel cells which predominantly occurs during start-up or shut down of the fuel cells. During carbon corrosion, carbon support to catalysts is compromised affecting the cell ... 詳細を見る
Electrochromic devices (ECDs) may be employed in ”smart” windows, for instance in buildings or motor cycle visors, where the transparency of the device can be controlled by applying a voltage. ECDs make use of the fact that the absorbance of visual light for a chemical species in a ... 詳細を見る
The electrodes of a lithium-ion battery are porous and consist of an active solid electrode material, a binder, and pores filled with a liquid electrolyte. Expansion of the active material due to lithium intercalation changes the volume fraction of electrolyte-filled pores in the ... 詳細を見る
The TSSG process, namely Top-Seeded Solution Growth, is a method used to grow SiC single crystals. It has the advantages of lower growth temperature and high crystal quality. This model introduces the simulation method of the TSSG process, obtains the temperature distribution of the ... 詳細を見る
