COMSOL Conference 2025 Proceedings
Collection of Papers, Posters, and Slideshows Accepted by the Program Committee
At the COMSOL Conference 2025, engineers, researchers, and scientists from around the globe showcased their use of modeling and simulation across all major industries and in academia. Use the Quick Search tool to find a specific presentation or filter by topic or event location.
ISBN: 978-1-7364524-3-1
In this paper, we use a COMSOL Multiphysics® model to demonstrate the potential use of polymer microring resonator structures for optical biosensing applications. When the refractive index of the area surrounding the microring resonator changes, there is a shift in the resonance ... 詳細を見る
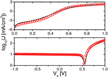
In this project, we developed a 3D optoelectronic model for organic bulk-heterojunction solar cells. We validated our COMSOL Multiphysics® model with experimental data and used our simulation to predict the optical and electrical characteristics of a 3D plasmonic OPV device. This work ... 詳細を見る
Considering a liquid drop in relative movement with respect to the air flow at uniform velocity, the liquid will be driven to the surface by the viscous friction. Internal vortices will appear inside the drop. This problem has already been studied in fluid mechanics and is well known as ... 詳細を見る
Dielectrophoresis (or DEP) has been exploited for various micro and nano fluidics applications like patterning, sorting and separation. However, there are several commonly neglected issues in quantifying DEP forces. Such negligence could potentially lead to wrong DEP force predictions ... 詳細を見る
It is necessary to understand and control nanopore behavior in order to develop biosensors for a variety of applications including DNA sequencing. The fluidics of nanopore devices we fabricated exhibits a range of interesting phenomena, such as enhanced conductance and current ... 詳細を見る
Dielectrophoresis is a phenomenon in which a force is exerted on a dielectric particle when it is subjected to a non-uniform electric field. In this research, we analyze dielectrophoretic (DEP) force using a geometry containing two electrodes, one with SiO2 and one without, with a gap ... 詳細を見る
A solar cell offers a potential solution to energy shortage problems by converting sunlight into electrical power. Organic solar cells (OSCs) are low-cost and versatile, but also tend to be low-efficiency and short-lasted. Three macroscopic parameters determine their power-conversion ... 詳細を見る
Some types of rare pathogens can be detected and identified in human blood through a low-cost and label-free method. The On-Chip SESR identification process has a fast detection time (about 5 minutes) and a low detection limit. Discrimination of a species is done by sorting red blood ... 詳細を見る
Well‐designed and controlled nanochannels are ideal physical modeling systems to study fluidics in a precise manner. Electrokinetics refers to transport phenomena related to the non‐electroneutral EDL, which is created to neutralize the surface charges produced on surface. Surface ... 詳細を見る
Electrical impedance tomography is a non-invasive, low-cost medical imaging technique that can be used long term without radiation hazards. We built a model of the torso, and then used COMSOL Multiphysics® to simulate applied current patterns, compute voltages, and find equi-potential ... 詳細を見る
