COMSOL Conference 2025 Proceedings
Collection of Papers, Posters, and Slideshows Accepted by the Program Committee
At the COMSOL Conference 2025, engineers, researchers, and scientists from around the globe showcased their use of modeling and simulation across all major industries and in academia. Use the Quick Search tool to find a specific presentation or filter by topic or event location.
ISBN: 978-1-7364524-3-1
Sustainable energy storage is essential for a successful energy transition towards renewable energies. Advanced future power grids will consist almost exclusively of instable and variable sources like solar and wind power. However, fluctuations are very problematic for the power grids, ... 詳細を見る
The transition from fossil fuels to renewable energies requires finding new sources of energy. It turns out that the hydrothermal potential of the lakes would cover a significant part of these renewable energy needs. The existing Thermal Lacustrine Networks (TLNs) are efficient in summer ... 詳細を見る
Bioreactors play a critical role in cultivating biological cells for various applications, such as pharmaceutical production and tissue engineering. Optimizing the cultivation process requires a deep understanding of the flow characteristics within the bioreactor medium. In this study, ... 詳細を見る
Nowadays, surge protection devices are widely used in electrical grids to suppress over voltages during transient conditions caused by voltage surges and to prevent damages of industrial or household devices. The working principle is based on the initiation of an arc with a burning ... 詳細を見る
Thin liquid layers play a crucial role in many applications. In the case of direct wafer bonding, the amount of water in the bonding interface determines the bonding strength and is therefore of high interest. Simulations can help to study the influence of different technological and ... 詳細を見る
Water removal during paper and board manufacturing is an intensive energy process. The dewatering process generally consists of four stages wherein the last stage is comprised by thermal drying in where remaining water in fibres are evaporated on steam-heated cylinders. The thermal ... 詳細を見る
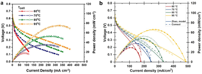
Ammonia is studied both as a hydrogen carrier and as a fuel for renewable energy infrastructure. An important advantage of ammonia compared to carbon-based fuels is that it can be oxidized without greenhouse gas emissions, producing only N2 and water. Direct ammonia fuel cells (DAFCs) ... 詳細を見る
In this paper, we present a comprehensive study on the influence of anatomical shapes on the speed of blood flow in the left atrial appendage (LAA) using Computational Fluid Dynamics (CFD) Module in COMSOL Multiphysics®. The LAA itself can serve as a potential origin of blood clots, ... 詳細を見る
The synthesis of the superheavy elements and investigations of their nuclear, atomic and chemical properties are at the scientific forefront. Experiments are challenging due to the extremely low production rates and short half-lives [1]. A new universal high-density gas stopping cell ... 詳細を見る
The use of advanced manufacturing technologies expands the design scope of lightweight components for aerospace systems and enables innovative possibilities for complex structures [1, 2]. The overall approach of the AdHyBau (Additive Hybrid Construction) joint project is to develop new ... 詳細を見る
