研究開発におけるマルチフィジックスシミュレーションの具体例
さまざまな業界のエンジニア, 研究者, 科学者がマルチフィジックスシミュレーションを使用して革新的な製品の設計とプロセスを研究および開発しています. COMSOL カンファレンスで発表したテクニカルペーパーやプレゼンテーションからインスピレーションを得てください. 以下の選択項目を参照するか, クイック検索ツールを使用して特定のプレゼンテーションを検索するか, アプリケーション領域でフィルタリングします.
COMSOL Conference 2024 論文集を見る
反应堆内固有的多物理场环境使得核燃料的堆内行为演化十分复杂,除了传统的热、力学现象外,反应堆内中子辐照场对核燃料性能演化具有至关重要的作用,主要体现在:1)中子辐照将引起材料内部发生显著的微结构演化,这一方面将影响燃料及包壳材料的热物理性能,另一方面,材料微结构演化将引起特殊的宏观变形现象,例如辐照肿胀、辐照生长等;2)核素裂变产生的难溶性或易挥发性裂变产物在燃料基质内积累、扩散、聚集并最终释放进入气腔引起的裂变气体释放现象。为了准确预测反应堆内燃料元件的热、力及辐照性能演化,本文基于多物理场耦合分析平台COMSOL,搭建了棒状燃料热-力-辐照耦合性能分析工具 ... 詳細を見る
随着电子器件尺寸持续缩小接近物理极限,摩尔定律正面临巨大挑战,半导体制造业开始过渡到“超越摩尔”的三维集成时代。铜硅通孔是实现三维集成的关键技术之一,该技术通过铜硅通孔将多个芯片堆叠互连。然而,实际使用铜硅通孔互连芯片存在着可靠性问题,例如铜硅通孔的凸起。这个现象是由于铜与硅之间热膨胀系数的差异较大,因此在器件服役过程中会产生显著的热应力,造成铜硅通孔的凸起,严重地影响到器件的功能和完整性。为研究铜硅通孔凸起的机理,本文采用相场晶体法从原子尺度模拟重现硅通孔的凸起过程。在COMSOL Multiphysics基本模块中 ... 詳細を見る
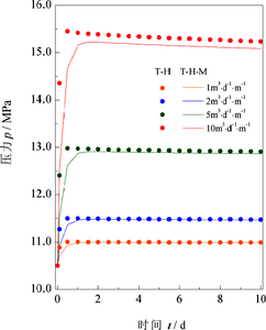
硅通孔在实现高级集成系统中起着至关重要的作用,但是其发展受到多物理场耦合效应的极大阻碍。硅通孔的多物理场耦合过程非常复杂,热场分布、电磁场分布及结构分布是相关联、相互作用的。针对硅通孔的多物理场耦合问题,本文开展了硅通孔多物理场仿真分析研究。结合国内外在硅通孔多物理场本质研究的基础上,从多物理场耦合理论出发,建立单个硅通孔的多物理场分析模型。通过运用 COMSOL Multiphysics 软件进行建模如图 1,在稳态下选择相应的焦耳热和热膨胀接口进行仿真如图 2,经影响分析确定了硅通孔的一些结构参数,如二氧化硅隔层厚度取 0.8um,硅基质厚度取 5.5um ... 詳細を見る
“页岩气革命”使美国成功摆脱了对他国能源的严重依赖,目前我国页岩气的勘探开发也已取得了突破性成果,但是随着页岩气的开发,仍存在三大问题困扰着科学工作者和现场工程师:(1)页岩气开发过程中的渗透率演化规律尚未摸清;(2)在产气过程中,页岩气在产量上往往呈现出不确定性;(3)缺乏针对页岩气进行历史拟合和产量预测的数学工具。针对以上三个主要问题,我们定义非常规储层固有渗透率的演化是裂隙和基质之间物质传输和应力传递的结果,并建立了离散体模型研究孔隙变形与流体流动之间的耦合作用;以此为基础,我们建立双基质双重孔隙介质模型(连续介质模型)研究页岩基质变形与流体流动之间的耦合关系 ... 詳細を見る
注蒸汽热力采油是稠油开发的一种有效方法,它涉及到储层地质、采油工程、传热学、经济分析等多门学科,是一项复杂、技术难度大的系统工程。研究蒸汽吞吐的热力学过程,包括井筒内饱和水蒸汽温度/压力传输、储层内多相流传质传热等,对于优选热采井生产方式和工作制度、提高采收率具有重要意义。本研究针对注蒸汽热采过程,将井筒与储层作为一个统一的系统,考虑井口注汽参数与储层吸汽能力之间的协调关系以及储层温度场、流体场、固体场之间的耦合关系,基于连续介质力学、流体力学、渗流力学、热弹性力学及传热学等相关理论,建立了反映变温、变形影响的井筒-储层耦合数学模型。基于COMSOL ... 詳細を見る
TRISO(TRistructure ISOtropic)燃料颗粒不仅是在役高温气冷堆燃料元件的核心部件,同时也是下一代用于水冷反应堆的全陶瓷微密封(FCM)耐事故燃料(ATF)元件的关键组成部分。TRISO燃料颗粒由内核部分和包覆层两部分组成,其中内核部分包括球形UO2或UN燃料核芯和包围核芯的疏松热解碳缓冲层,包覆层由内向外依次为内致密热解碳层(IPyC层)、碳化硅层(SiC层)和外致密热解碳层(OPyC层)。基于COMSOL Multiphysics®多物理场耦合有限元软件开发了TRISO燃料颗粒的三维热学-力学-裂变产物扩散耦合分析模型 ... 詳細を見る
为研究不同加热方式下煤岩内部裂隙在热力耦合作用下的变形特征,建立了微波和常规加热两种数值模型,考查了不同温度场分布特征下裂隙周边应力应变场的变化过程。研究结果表明:微波加热,温度场分布具有内高外低的特征,此时裂隙周边分布的应力多为压应力,且数值较大,裂隙边界位移表现为向内收缩;常规加热,温度场分布具有外高内低的特性,此时裂隙周边分布应力多为拉应力,但量值较低,裂隙边界位移表现为向外扩张;热源越靠近裂隙压应力越明显,反之拉应力明显。 詳細を見る
煤层气开采过程中煤层所受应力、孔隙压力的变化以及气体的吸附解吸,会导致煤体骨架和孔隙体积发生变化,改变煤层的渗流能力。基于多孔弹性理论、渗流力学并考虑吸附变形,建立了煤层压裂水平井的物理模型,并建立了煤体变形和气体流动的全耦合数学模型,推导出了渗透率的动态变化模型。利用数值分析软件Comsol Multiphysics对煤层气的开发特征及规律进行了数值模拟,最终实现对模型中关键参数的敏感性和压裂裂缝参数的影响进行分析。 詳細を見る
MEMS压阻式压力传感器的输出特性易受温度的影响,而通常温度补偿技术具有复杂的校准过程,为了使其具有成本效益,通过保持传感器在恒定温度下运行来替代温度补偿技术。本案例中,通过集成MEMS加热电阻器来控制MEMS压力芯片的温度,使MEMS芯片的温度保持在恒定温度。 本案例第一个研究模拟了不同环境温度对MEMS压阻式压力传感器输出特性的影响;第二个研究模拟了MEMS加热电阻的电热产生、传热以及机械应力和变形。模型同时使用了“传热模块”的“固体传热”接口、“AC/DC模块”的“电流,壳”接口以及“结构力学模块”的“固体力学”和“膜”接口。 ... 詳細を見る
空间堆中的热离子转换器(TEC)由于在将核反应堆中产生的热能向机械能转换的过程中不需要中间步骤,相比于布雷顿循环等动态转换方式更紧凑、质量更轻且无声,同时又比温差电转换等其他静态转换方式效率较高。由于热离子反应堆的实验研究和测试是一项复杂而昂贵的工作,因此需要通过仿真模拟对热离子转换器进行性能分析及优化设计,并对未来的实验设计提供依据。本文使用COMSOL®软件对多节串联热离子转换器实验装置进行了温度、力学和热电转换的耦合计算,采用2维轴对称几何建模,核反应热源通过电加热模拟,热阱采用共轭传热模拟。相比单节热离子转换器 ... 詳細を見る
