Ivar KJELBERG
COMSOL Multiphysics(r) fan, retired, former "Senior Expert" at CSEM SA (CH)
Please login with a confirmed email address before reporting spam
Posted:
10 years ago
2016/04/28 7:20 GMT-4
Hi
I'm not sure I catch you fully
But yes you can define your own equations and hence dependent variables for only one or a few Entities (Domains, Boundaries ...).
You have the math mode, or different options within the physics nodes ...
But what you also can do, is to define a variable (Definition Variables) on different Entities with different expressions (one per Entity though) so that the variable represent a valid results in the different Domains/Boundaries etc
--
Good luck
Ivar
Hi
I'm not sure I catch you fully
But yes you can define your own equations and hence dependent variables for only one or a few Entities (Domains, Boundaries ...).
You have the math mode, or different options within the physics nodes ...
But what you also can do, is to define a variable (Definition Variables) on different Entities with different expressions (one per Entity though) so that the variable represent a valid results in the different Domains/Boundaries etc
--
Good luck
Ivar
Please login with a confirmed email address before reporting spam
Posted:
10 years ago
2016/04/28 7:27 GMT-4
Thanks for the response!
Actually I am working on modelling of vanadium crossover in vfrb. I am using Nernst- Planck eqns and secondary current distribution to model membrane and tertiary current distribution to model electrolyte on the either side of the membrane. I am facing problem in modelling the boundaries of membrane-electrolyte interface. I am considering the interfacial area of finite thickness. And the thickness is assumed to be equivalent to the diffusion boundary layer that exist at the surface of a flow-by electrode . For simplicity membrane side thickness is assumed the same.
For this, in the nernst-planck eqn, concentration and migration terms are discretized as given in the attached image file. (Screenshot001.jpg)
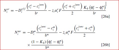
Fluxes for both sides of electrolyte are- (Screenshot002.jpg)
I don't know how to incorporate the boundary fluxes equations. As of now I have manually typed those equations under in Variable under local definations. But the problem is how to calculate junction concentration (c_j) . How to equate those N_er and N_mr to find out (c_j)? I am using Nernst-Planck eqn & Secondary Current Distribution to model the membrane domain and tertiary current distribution & darcy law for both electrolyte domain.
I was thinking of defining variable c_j for the membrane-electrolyte boundary that's y I asked.But I don't think it's the proper way.
I am not getting at all how to model this fluxes.
Waiting for the response.
Thanks for the response!
Actually I am working on modelling of vanadium crossover in vfrb. I am using Nernst- Planck eqns and secondary current distribution to model membrane and tertiary current distribution to model electrolyte on the either side of the membrane. I am facing problem in modelling the boundaries of membrane-electrolyte interface. I am considering the interfacial area of finite thickness. And the thickness is assumed to be equivalent to the diffusion boundary layer that exist at the surface of a flow-by electrode . For simplicity membrane side thickness is assumed the same.
For this, in the nernst-planck eqn, concentration and migration terms are discretized as given in the attached image file. (Screenshot001.jpg)
Fluxes for both sides of electrolyte are- (Screenshot002.jpg)
I don't know how to incorporate the boundary fluxes equations. As of now I have manually typed those equations under in Variable under local definations. But the problem is how to calculate junction concentration (c_j) . How to equate those N_er and N_mr to find out (c_j)? I am using Nernst-Planck eqn & Secondary Current Distribution to model the membrane domain and tertiary current distribution & darcy law for both electrolyte domain.
I was thinking of defining variable c_j for the membrane-electrolyte boundary that's y I asked.But I don't think it's the proper way.
I am not getting at all how to model this fluxes.
Waiting for the response.