Discussion Closed This discussion was created more than 6 months ago and has been closed. To start a new discussion with a link back to this one, click here.
hyperelasticity model for MRE (magneto rheological elastomer)
Posted 2020/12/23 9:01 GMT-5 Structural & Acoustics, Parameters, Variables, & Functions Version 5.4 0 Replies
Please login with a confirmed email address before reporting spam
Dear sir,
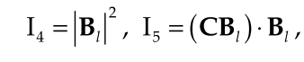
I am trying to define a hyperelasicity model which include an additional magnetic term. the new model looks like mooney-rivilin model with a new term includes the magnetic effect in the strain energy function. please check the attached pictures of the new model strain energy function and the magnetic invariants.
As you see the magnetic invariants are function of magnetic flux density and deformation gradient in tensor form. I tried to define them in variables and add them with W_vol term under "user defined" hyperelasticity model but unfortunatly it wasn't possible.
Is the physics builder is the only way to define this model????? And where can I find an example how hyperelasticity model is built in physics builder????? Does the license provide such an access?????
Kind regards, and thanks in advance. Mohammad Hdaib.
Attachments:
Hello Mohammad Hdaib
Your Discussion has gone 30 days without a reply. If you still need help with COMSOL and have an on-subscription license, please visit our Support Center for help.
If you do not hold an on-subscription license, you may find an answer in another Discussion or in the Knowledge Base.
