アプリケーションギャラリには電気, 構造, 音響, 流体, 熱および化学分野に関連する COMSOL Multiphysics® チュートリアルおよびデモアプリファイルが用意されています. これらの例はチュートリアルモデルまたはデモアプリファイルとそれに付随する手順をダウンロードすることにより独自のシミュレーション作業の開始点として使用できます.
クイック検索機能を使用して専門分野に関連するチュートリアルやアプリを検索します. MPHファイルをダウンロードするには, ログインするか, 有効な COMSOL ライセンスに関連付けられている COMSOL アクセスアカウントを作成します. ここで取り上げた例の多くは COMSOL Multiphysics® ソフトウェアに組み込まれ ファイルメニューから利用できるアプリケーションライブラリからもアクセスできることに注意してください.
Plate reactors running under continuous conditions have emerged as candidates to replace batch reactors, primarily in fine chemicals and pharmaceuticals production. One of the advantages of the plate reactor design is that it allows for efficient temperature control of the reacting ... 詳細を見る
Periodic microstructures are frequently found in composite materials, metallic foams, and sandwich structures. They can be described by a unit cell repeated along the three Cartesian directions. This app computes homogenized material properties of various periodic microstructures and ... 詳細を見る
In this example, a hydrogen plasma reactor at moderate pressure is studied using a global model. The heavy species heat equation is included. In the first part of the study, a Maxwellian electron energy distribution function is used. In the second part, the global model is solved self ... 詳細を見る
This tutorial illustrates how to use the Uncertainty Quantification (UQ) functionality to answer questions regarding sensitivity and reliability of a flow reactor with thermal decomposition. The tutorial investigates what uncertainties in parameters dominates the survival of a nutrient ... 詳細を見る
In this study, the compressible turbulent flow through a supersonic ejector is modeled using the High Mach Number Flow interface in the CFD Module. Ejectors are simple mechanical components used for a wide range of applications, including industrial refrigeration, vacuum generation, gas ... 詳細を見る
Chemical engineering students can model a nonideal tubular reactor, including radial and axial variations in temperature and composition, and investigate the impact of different operating conditions with this easy-to-use app. The process described by the Tubular Reactor with ... 詳細を見る
Tubular reactors are often used in continuous large-scale production, for example in the petroleum industry. One key design parameter is the conversion, or the amount of reactant that reacts to form the desired product. In order to achieve high conversion, process engineers optimize the ... 詳細を見る
This app demonstrates the following: Visualization of a periodic structure from a unit cell Resetting some or all input parameters Export the resulting material properties as an MPH-file or an XML-file that can be imported to a COMSOL Multiphysics session Periodic microstructures are ... 詳細を見る
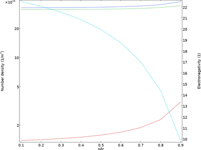
In this example, an SF6/argon plasma reactor at moderate pressure is studied using a global model. The heavy species heat equation is included. Parametric sweeps for input power and argon mole fraction are computed. 詳細を見る
In a reciprocating piston engine the connecting rods transfer rotating motion into reciprocating motion. The connecting rods are constantly under high stresses and the load increases with the engine speed. A failure of one part in the engine usually results in a replacement of the whole ... 詳細を見る
