アプリケーションギャラリには電気, 構造, 音響, 流体, 熱および化学分野に関連する COMSOL Multiphysics® チュートリアルおよびデモアプリファイルが用意されています. これらの例はチュートリアルモデルまたはデモアプリファイルとそれに付随する手順をダウンロードすることにより独自のシミュレーション作業の開始点として使用できます.
クイック検索機能を使用して専門分野に関連するチュートリアルやアプリを検索します. MPHファイルをダウンロードするには, ログインするか, 有効な COMSOL ライセンスに関連付けられている COMSOL Access アカウントを作成します. ここで取り上げた例の多くは COMSOL Multiphysics® ソフトウェアに組み込まれ ファイルメニューから利用できるアプリケーションライブラリからもアクセスできることに注意してください.
In the diffuse double layer and within the first few nanometers of an electrode surface, the assumption of electroneutrality is not valid due to charge separation. Typically, the diffuse double layer may be of interest when modeling very thin layers of electrolyte including those in ... 詳細を見る
This example models the flow in a 90-degree pipe elbow. The flow is simulated using the k-omega turbulence model. The result is compared to engineering correlations. 詳細を見る
This example shows how to compute thermally induced stresses in a turbine stator blade using the Thermal Stress, Solid interface. The conditions within gas turbines are extreme. The pressure can be as high as 40 bar, and the temperature more than 1000 K. Any new component must therefore ... 詳細を見る
The present model example is based on Copper Deposition in a Trench model available in Electrodeposition Application Library. The nonuniform deposition along the trench surface leads to formation of a cavity/void. Since the Deformed Geometry interface cannot handle topological changes, ... 詳細を見る
The present model example is based on Copper Deposition in a Trench model available in Electrodeposition Application Library. The nonuniform deposition along the trench surface leads to formation of a cavity/void. Since the Deformed Geometry interface cannot handle topological changes, ... 詳細を見る
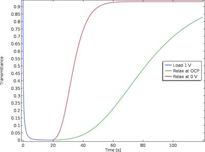
Electrochromic devices (ECDs) may be employed in ”smart” windows, for instance in buildings or motor cycle visors, where the transparency of the device can be controlled by applying a voltage. ECDs make use of the fact that the absorbance of visual light for a chemical species in a ... 詳細を見る
This tutorial shows how to model the propagation of acoustic waves in large pipe systems by coupling the Pipe Acoustics interface to the Pressure Acoustics interface. The tutorial is set up in both the time domain and the frequency domain. 1D pipe acoustics is used to model the ... 詳細を見る
この8つのチュートリアルモデルと関連ドキュメントのセットでは, ツイスト磁気アーマーを備えた標準の3芯鉛被覆 XLPE HVAC 海底ケーブル (500 mm2, 220 kV) の抵抗, 容量, 誘導, および熱特性を調べることができます. このシリーズには, 2D, 2D axi, 2.5D, および完全な3D解析が含まれており, パフォーマンスと詳細レベルの両方を考慮すると, 最新の数値研究と同等です. 検証が含まれています. 結果は, IEC 60287 標準, いくつかの最近の論文, および解析モデルのコンテキスト内で分析されます. このチュートリアルは, ... 詳細を見る
The purpose of the app is to demonstrate and simulate the use of cyclic voltammetry. You can vary the bulk concentration of both species, transport properties, kinetic parameters, as well as the cycling voltage window and scan rate. Cyclic voltammetry is a common analytical technique ... 詳細を見る
The purpose of this app is to understand EIS, Nyquist, and Bode plots. The app lets you vary the bulk concentration, diffusion coefficient, exchange current density, double layer capacitance, and the maximum and minimum frequency. Electrochemical impedance spectroscopy (EIS) is a common ... 詳細を見る
